assay
>99% (TLC)
form
chloroform solution
packaging
pkg of 1 × 2.5 mL (710341C-25MG)
manufacturer/tradename
Avanti Research™ - A Croda Brand
concentration
10 mg/mL in chloroform (710341C-25MG)
lipid type
cardiolipins
phospholipids
shipped in
dry ice
storage temp.
−20°C
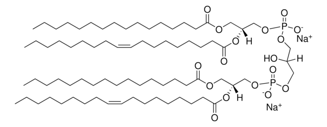
SMILES string
O=P([O-])(OC[C@]([H])(OC(CCCCCCC/C=C\CCCCCCCC)=O)COC(CCCCCCCCCCCCCCC)=O)OCC([H])(O)COP([O-])(OC[C@]([H])(OC(CCCCCCC/C=C\CCCCCCCC)=O)COC(CCCCCCCCCCCCCCC)=O)=O.[Na+].[Na+]
InChI
1S/C77H146O17P2.2Na/c1-5-9-13-17-21-25-29-33-35-39-43-47-51-55-59-63-76(81)93-72(67-87-74(79)61-57-53-49-45-41-37-31-27-23-19-15-11-7-3)69-91-95(83,84)89-65-71(78)66-90-96(85,86)92-70-73(68-88-75(80)62-58-54-50-46-42-38-32-28-24-20-16-12-8-4)94-77(82)64-6
InChI key
QTGHEOQPDHDHHT-IPKHONCISA-L
General description
Biochem/physiol Actions
Packaging
Legal Information
signalword
Danger
Hazard Classifications
Acute Tox. 3 Inhalation - Acute Tox. 4 Oral - Carc. 2 - Eye Irrit. 2 - Repr. 2 - Skin Irrit. 2 - STOT RE 1 Oral - STOT SE 3
target_organs
Central nervous system, Liver,Kidney
存储类别
6.1C - Combustible acute toxic Cat.3 / toxic compounds or compounds which causing chronic effects
wgk
WGK 3
法规信息
此项目有
全球贸易项目编号
| 货号 | GTIN |
|---|---|
| 710341C-25MG | 04061838810205 |

