跳转至内容
Merck
CN

PHR3096

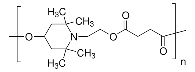
聚(4-羟基-2,2,6,6-四甲基-1-哌啶乙醇-alt-1,4-丁二酸)

pharmaceutical secondary standard, certified reference material

别名:

Poly(4-hydroxy-2,2,6,6-tetramethyl-1-piperidine ethanol-alt-1,4-butanedioic acid)

登录 查看组织和合同定价。

选择尺寸

变更视图

关于此项目

线性分子式:
(C15H29NO6)n
化学文摘社编号:
UNSPSC Code:
41116107
NACRES:
NA.24
MDL number:
技术服务
需要帮助?我们经验丰富的科学家团队随时乐意为您服务。
让我们为您提供帮助


Quality Level

grade

certified reference material, pharmaceutical secondary standard

agency

traceable to USP 1545023

CofA

current certificate can be downloaded

packaging

pkg of 200 mg

mp

>350 °C (lit.)

application(s)

pharmaceutical

SMILES string

N1(C(CC(CC1(C)C)OC)(C)C)CCOC(=O)CCC(=O)C

InChI

1S/C17H31NO4/c1-13(19)7-8-15(20)22-10-9-18-16(2,3)11-14(21-6)12-17(18,4)5/h14H,7-12H2,1-6H3

InChI key

CTJXKCPBMVLOQI-UHFFFAOYSA-N

General description

Pharmaceutical secondary standards for application in quality control provide pharma laboratories and manufacturers with a convenient and cost-effective alternative to the preparation of in-house working standards

Application

These Secondary Standards are qualified as Certified Reference Materials. These are suitable for use in several analytical applications including but not limited to pharma release testing, pharma method development for qualitative and quantitative analyses, food and beverage quality control testing, and other calibration requirements.

Analysis Note

These secondary standards offer multi-traceability to the USP and EP primary standards, where they are available.

Other Notes

This Certified Reference Material (CRM) is produced and certified in accordance with ISO 17034 and ISO/IEC 17025. All information regarding the use of this CRM can be found on the certificate of analysis.
To see an example of a Certificate of Analysis for this material enter LRAA6959(changes by product) in the Documents slot below. This is an example certificate only and may not be the lot that you receive.


Still not finding the right product?


存储类别

11 - Combustible Solids

wgk

WGK 1

flash_point_f

Not applicable

flash_point_c

Not applicable



分析证书(COA)

输入产品批号来搜索 分析证书(COA) 。批号可以在产品标签上"批“ (Lot或Batch)字后找到。

已有该产品?

在文件库中查找您最近购买产品的文档。

访问文档库



全球贸易项目编号

货号GTIN
PHR3096-200MG04065266900200