跳转至内容
Merck
CN

M4507

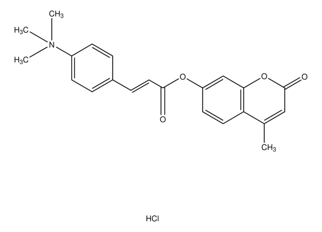
4-Methylumbelliferyl p-trimethylammoniocinnamate chloride

powder

别名:

MUTMAC

登录 查看组织和合同定价。

选择尺寸

变更视图

关于此项目

线性分子式:
C22H22NO4Cl
化学文摘社编号:
分子量:
399.87
NACRES:
NA.32
PubChem Substance ID:
UNSPSC Code:
12352204
MDL number:
技术服务
需要帮助?我们经验丰富的科学家团队随时乐意为您服务。
让我们为您提供帮助


assay

≥97% (TLC)

form

powder

solubility

water: pyridine, 1:1: 50 mg/mL

storage temp.

−20°C

SMILES string

Cl.CC1=CC(=O)Oc2cc(OC(=O)\C=C\c3ccc(cc3)[N](C)(C)C)ccc12

InChI

1S/C22H22NO4.ClH/c1-15-13-22(25)27-20-14-18(10-11-19(15)20)26-21(24)12-7-16-5-8-17(9-6-16)23(2,3)4;/h5-14H,1-4H3;1H/b12-7+;

InChI key

KYYHCHQCEWDCBB-RRAJOLSVSA-N

General description

Fluorometric substrate for α-chymotrypsin.


存储类别

11 - Combustible Solids

wgk

WGK 3

flash_point_f

Not applicable

flash_point_c

Not applicable

ppe

Eyeshields, Gloves, type N95 (US)



历史批次信息供参考:

分析证书(COA)

Lot/Batch Number

没有发现合适的版本?

如果您需要特殊版本,可通过批号或批次号查找具体证书。

已有该产品?

在文件库中查找您最近购买产品的文档。

访问文档库


商品

Analytical Enzyme Chymotrypsin: Chymotrypsin is produced in the acinar cells of the pancreas as the inactive precursor, chymotrypsinogen.


G W Jameson et al.
The Biochemical journal, 131(1), 107-117 (1973-01-01)
Several esters of 4-methylumbelliferone and 2-naphthol were synthesized and examined as possible spectrofluorimetric titrants for bovine alpha-chymotrypsin, trypsin, thrombin, Factor Xa and for subtilisin Novo. 4-Methylumbelliferyl p-guanidinobenzoate hydrochloride (MUGB) is a satisfactory titrant for alpha- and beta-trypsin, thrombin and Factor



全球贸易项目编号

货号GTIN
M4507-25MG04061832909219
M4507-100MG04061832909202