Perfluorosulfonic Acid Membranes for Fuel Cell and Electrolyser Applications
From PEM Fuel Cells to PFSA Membranes
PFSA Polymer Types
Composition, Structure, and Synthesis Routes
PFSA Ionomer Dispersions
Conductivity and Water Uptake
Membrane Durability
Better Membranes Through Chemical Modification and Crosslinking
Better Membranes Through Composite Approaches
Catalyst Ink and Fuel Cell Operation
Summary
From PEM Fuel Cells to PFSA Membranes
Advances in the electrochemical conversion of water to and from hydrogen and oxygen have principally been achieved through the development of new materials and by understanding the mechanisms of the degradation of proton exchange membrane fuel cells (PEMFC) during operation. Electrochemical conversion of hydrogen and oxygen into water in fuel cells relies on a proton exchange membrane (PEM). The same is true for the conversion of water to hydrogen and oxygen through PEM water electrolysers (PEMWE). In both PEMFC and PEMWE, the PEMs form the heart of the electrochemical cells, where they ensure conduction of protons from the anode to the cathode, separation of reactant (fuel cell) or product (electrolyser) gases, and electrical insulation of the electrodes. Many of the requirements for effective PEMs in fuel cells and electrolysers are the same and have long been recognized. However, it is only recently that notable advancements have been made to enable chemically and mechanically stable membranes with high proton conductivity. An extensive library of polymers and ionomers has been developed and evaluated in recent years. This has led to a vast number of novel sulfonic acid functionalized non-fluorinated polyaromatics1 and polymer materials comprising protogenic functions other than sulfonic acid (typically phosphonic and heterocycle functionalized materials). These endeavors have also notably advanced perfluorosulfonic acid (PFSA) polymer technologies to produce a new generation of state-of-the-art fuel cell membranes.
PFSA Polymer Types
Nafion®-Type or Long-Side-Chain (LSC) Ionomers
Nafion®, developed by DuPont, is a perfluorosulfonic acid (PFSA) polymer generated by free radicalinitiated copolymerization of a perfluorinated vinyl ether sulfonyl fluoride co-monomer with tetrafluoroethylene (TFE). This gives a poly(tetrafluoroethylene) backbone with perfluoroether pendant side chains terminated by sulfonic acid groups (Figure 1). Polymers with identical structure such as Flemion®, Aciplex®, and Fumion® F are produced by Asahi Glass Company, Asahi Kasei, and FuMA-Tech, respectively. With the advent of related perfluorinated ionomers with shorter pendant side chains, the Nafion®-type composition is termed as the “long-side-chain” (LSC) ionomer, which refers to the “long” side chain of the type shown in Figure 1A.
The equivalent weight (EW) of an ionomer is the weight of the polymer required to provide 1 mole of exchangeable protons, i.e., it is the inverse of the ion exchange capacity (IEC). These properties are directly responsible for several of the key features of PEMs such as proton conductivity and the tendency to swell in water and shrink in low relative humidity. The polymer EW and IEC depend on the ratio of TFE and side-chain functionalized TFE. The long-side-chain membranes typically comprise an ionomer of equivalent weight 1,100–900 g/mol or ion exchange capacity of 0.91–1.11 mmol/g.

Figure 1.Nafion®, Aquivion®, and 3M™ perfluorinated sulfonic acid ionomer structures
Composition, Structure, and Synthesis Routes
A short-side-chain (SSC) perfluorinated ionomer (the Dow membrane) with no fluoroether group in the pendant side-chain comprising only two CF2 groups was introduced during the 1980s by the Dow Chemical Company.2 Although significant improvement in fuel cell performance was obtained by researchers at companies such as Ballard Power Systems, the complexity of the synthesis route to the SSC monomer (Figure 2) was probably one of the main obstacles in the industrial development of the corresponding SSC ionomer. Subsequently, Solexis (now known as Solvay Specialty Polymers) applied its fluorovinylether process to the production of the SSC monomer (Figure 2) on an industrial scale and launched HyflonR Ion (known as Aquivion® since 2009, Figure 1B).3

Figure 2.Dow (above) and Solexis (below) routes for the synthesis of the SSC sulfonylfluoridevinylether monomer. Adapted from Reference 32. Copyright 2005 American Chemical Society.
In the same period, the 3M™ Corporation developed an ionomer (the 3M™ ionomer, Figure 1C) with a fluoroether-free pendant chain with four –CF2- groups by the electrochemical fluorination of a hydrocarbon starting material (Figure 3).4 Since the identification of the prevalence of the degradation mechanism resulting from the radical attack on carboxylic acid end-groups of the PFSA backbone leading to so-called “unzipping” of the polymer chains,5 PFSAs are further stabilized by postsynthesis fluorination.

Figure 3.3M™ route for the synthesis of “medium-side-chain” perfluoro-4-(fluorosulfonyl) butoxylvinyl ether monomer. Adapted from Reference 4.
The compositional and structural differences between LSC and SSC ionomers impart their specific properties. At a given polymer EW, the SSCtype Aquivion® membranes are characterized by a higher heat of fusion than LSC NafionR-type membranes.6 Aquivion® retains its semi-crystalline character even at low EW. Further, Aquivion® with an EW of 830 g/mol shows the same heat of fusion characteristic of the most commonly available Nafion® of EW 1,100 g/mlol (Figure 4). In addition, both the absence of the pendant CF3 group and the shorter side chain give a polymer of higher glass transition temperature at a given polymer EW (Tg Nafion® ca. 100 °C, 3M™ ca. 125 °C, and Aquivion® ca. 140 °C), which extends the operating temperature to higher values. Wide angle X-ray scattering (WAXS) shows that the crystallinity decreases with decreasing ionomer EW, which is consistent with a shorter PTFE segment length. For the same EW, the crystallinity is lower in LSC than in SSC ionomers to such an extent that SSC membranes exhibit crystallinity at EWs where LSC ionomers are amorphous. The 3M ionomer of EW 700 shows no crystalline peak,7 which suggests that a minimum PTFE segment length between adjacent side chains is necessary for the formation of crystalline hydrophobic domains.

Figure 4.Heat of fusion of Aquivion® and Nafion® ionomers of various polymer equivalent weights.(Figure provided by Solvay Speciality Polymers.) Data for Nafion® adapted with permission from Reference 33. Copyright 1989 American Chemical Society.
PFSA Ionomer Dispersions
The dispersion of PFSA ionomers in catalyst inks is a critical factor in determining the activity of catalyst layers in membrane electrode assemblies of PEMFCs and PEMWEs. Nafion® and other PFSAs do not form true solutions in low-boiling alcohols/water.8 Analysis of small angle X-ray scattering (SAXS) profiles indicates consistent values of 2–2.5 nm for the radius for LSC PFSA dispersed in polar solvents and smaller radii of 1.5–1.7 nm for similar rod-like particles of SSC PFSA. Transmission electron microscopy of LSC membranes shows vermicular structures around 30 nm in length. Despite these observations, dynamic light scattering indicates objects of radius at a different length scale, which is consistent with aggregation into secondary structures. To date, there appears to be no general understanding of the solvent-dependent state of PFSA aggregates and their dispersion.
The morphology and properties of films formed by solvent removal from such dispersions differ greatly from those of the more crystalline form produced by extrusion. High temperature annealing is necessary to induce polymer chain reorganization into semi-crystalline domains. This improves membrane mechanical properties. AquivionR dispersions of various EW and at various ionomer concentrations are commercialized by Solvay Specialty Polymers (available from Sigma-Aldrich) for use in membrane electrode assembly (MEA) components for membrane casting, catalyst ink development, and gas diffusion layer surface modification.9
Conductivity and Water Uptake
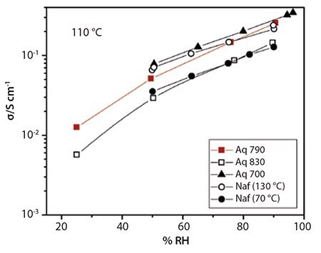
Proton conductivity in PFSA membranes depends on the polymer EW (number of charge carriers), hydration number (λ, number of water molecules/sulfonic acid group), polymer structure, membrane morphology, and temperature. All of these factors also affect the proton mobility. The proton conductivity of SSC PFSA membranes of EW 700–1,000 g/mole is displayed in Figure 5. The conductivity of 700 EW Aquivion® breaks through the barrier of the 100 mS cm-1 at temperatures between 80–110 °C and relative humidity (RH) >60%. The conductivity at 25% RH for the same temperature range is >200 mS cm-1. While water content and proton mobility have a critical impact on proton conductivity, the water retention and permeation phenomena also play a critical role in determining fuel cell performance. Generally, the water uptake measured from the saturated vapor is lower than that from liquid. Thus, SSC Aquivion® membranes exhibit high thermal stability (arising from the increased Tg) and higher proton conductivity even at low relative humidity (enabled by use of lower EW ionomers), making them attractive for high temperature, higher performance PEMFCs and PEMWEs.

Figure 5.Dependence of proton conductivity at 110 °C of EW 700, 790, and 830 Aquivion®, and of EW 1100 Nafion® at 70 and 130 °C. (Figure provided by Mario Casciola, Universita di Perugia, Italy.)
The side chain length of the PFSA impacts water uptake from liquid. For example, as shown in Figure 6, water uptake of 35 wt % is obtained with Nafion® EW 1100 and Aquivion® EW 900.

Figure 6.Water uptake from liquid water at 100 °C for extruded Aquivion® and Nafion® membranes as a function of the equivalent weight. Redrawn from Reference 6.
Membrane Durability
Membrane durability is a critical factor impacting fuel cell lifetime. The difference in side chain length and the presence or absence of a pendant perfluoroether group can significantly influence the chemical stability of LSC and SSC membranes. This is especially true in the case of a free radical attack in fuel cell operation conditions where the mechanism implicated in polymer degradation is different from the “unzipping” mechanism mentioned previously. Indeed, unzipping from the polymer chain ends should be reduced in a chemically stabilized PFSA membrane. In ex situ degradation studies, the membranes are immersed in Fenton’s reagent, which is comprised of aqueous hydrogen peroxide and a ferrous salt and generates radicals. In experiments comparing the fluoride ion released from stabilized and non-stabilized Aquivion® and Nafion®-112 (extruded and cast) after immersion in Fenton’s reagent, significantly lower fluoride emission is observed for stabilized extruded Aquivion® than from the non-stabilized material. Further, stabilized Aquivion® and the Nafion® membranes both show similar fluoride release.10 Solid-state 19F NMR spectroscopy of Nafion®-112 and Aquivion® before and after aging in Fenton’s reagent show much less change in relative peak area of the signal from the SCF2 group of Aquivion® than of Nafion®-112. This shows that the short side chain of Aquivion® is considerably less sensitive to radical attack than the long side chain of Nafion®.11 Similar conclusions were reached following a spin-trapping-based electron spin resonance ex situ study where hydroxyl radicals were generated by UV irradiation of aqueous hydrogen-peroxide-treated 3M™, Aquivion®, and Nafion® membranes.12 The absence of the –O-CF2-CF(CF3)- segment in the Aquivion® and 3M™ structures may directly explain their improved side chain stability.
The fluoride emission rate (FER) is one method used to assess PFSA membrane degradation. The FER of a membrane is measured from the exhaust gases that condense at the anode and cathode during in situ accelerated aging testing of fuel cells. It has been shown that holding the fuel cell at open circuit voltage (OCV) accelerates chemical degradation of PFSA membranes. Accelerated stress testing (AST) increases the rate of membrane degradation and is performed by maintaining membranes at OCV, high temperature, and intermediate or low relative humidity. In recent investigations comparing the durability of Aquivion® and Nafion® membranes at OCV hold testing at 90 °C and 50% relative humidity in a fuel cell, the anode/cathode FER was measured to be 8 × 10-3 μmol F.cm-2 h-1 for Aquivion® E79-03S (30 μm membrane) and 0.18 μmol F.cm-2 h-1 for Nafion®-212 (50 μm membrane), respectively. This shows significantly lower fluoride release from the SSC membrane.13 These results corroborate the ranking of relative stability to radical attack of long- and short-side-chain PFSA membranes demonstrated by ex situ degradation testing.
Better Membranes Through Chemical Modification and Crosslinking
Mechanical degradation of membranes is directly related to macroscopic swelling and contraction of the membrane. Membrane swelling is accompanied by high water uptake, which can be difficult to eliminate, as well as increased plasticity and softening, which generally occurs in membranes that have the high charge carrier concentration required for high proton conductivity.
One approach now followed at 3M is to modify the PFSA side chains such that they carry more than one acid site. Such multi-acid side chain ionomer membranes have the potential to demonstrate the mechanical properties of a higher EW polymer (characteristic of a single acid site per side chain), and the proton conduction properties of a lower EW material (conferred by the presence of multi-acid sites per side chain). In this way, a low EW material is created from a high EW polymer. The water soluble fraction, dimensional swelling in water, and the hydration number of 3M™ multi-acid side-chain membranes are all lower than those of PFSA membranes of corresponding low EWs.14
Other strategies for limiting membrane swelling are being developed. In general, chemical crosslinking is an effective method of improving polymer mechanical properties, and a series of approaches for the covalent crosslinking of PFSAs, either through the sulfonic acid side chain or through the main chain, have been screened. Several researchers have developed LSC ionomers having sulfonamide functionalities that are reacted to form sulfonimide crosslinks.15,16 Also, new perfluoropolymers with crosslinkable side chains have been developed by copolymerization of novel multifunctional monomers. For example, substituted TFE monomer units have been designed with pendant perfluoronitrile,17 perfluorobutyl, and perfluorosulfonamide groups that lead respectively to triazine, perfluorobutyl, or sulfonimide crosslinks after copolymerization. In a different approach Solvay applied the insertion during polymerization of partially fluorinated bi-functional monomeric units derived from tetrafluoroethylene, fluorinated monomeric units containing sulfonyl groups —SO2F, and from 0.01% to 5% by moles of monomeric units deriving from a bis-olefin of formula R1R2C=CH—(CF2)m—CH=CR5R6 (where m=2–10, R1, R2, R5, R6, equal to or different from each other, are H or C1–C5 alkyl groups).18 The membranes are obtained by crosslinking the sulfonic fluorinated polymer and the backbone of the polymer. The consequences of crosslinking during polymerization are an increase in the average molecular weight proportional to the crosslinking agent used and a broadening of the molecular weight distribution. These types of approaches covalently crosslink the hydrophobic regions of ionomer chains and, to some extent, allow the sulfonic acid functions to self-organize into hydrophilic domains. Also, the ion exchange sites are not consumed during the crosslinking reaction. Characterization of the degree of crosslinking in such systems is not a trivial problem. In the case of sulfonimide crosslinked membranes, X-ray photoelectron spectroscopy in the nitrogen and sulfur binding energy regions has been proven to be useful and has provided an analytical handle enabling the optimization of crosslinking conditions and semi-quantitative determination of the degree of crosslinking.16
Better Membranes Through Composite Approaches
Various approaches to producing macrocomposite dimensionally stabilized PFSA membranes have been developed.19 In the most well-established approach, the ionomer is embedded into expanded poly(tetrafluoroethylene) (PTFE) to produce Gore-Select-type membranes.20 The improvement in mechanical properties and dimensional stability of these membranes allows preparation of very thin (down to ca. 5 μm) membranes with low area resistance. Other types of porous reinforcing supports are currently emerging. In particular, microporous nanofiber mats can be produced by electrospinning. These non-woven materials possess a high volume fraction of void space and a large surface area to provide high pore interconnectivity and an extensive interface between the two phases. This, along with their nonwoven structure, leads to reinforcement throughout the entire thickness of the membrane. In the literature,21 two different fabrication approaches have been pursued. One consists of embedding an ionomer into a non- or less-conductive nanofiber mat, while the other involves the incorporation of PFSA nanofibers into an inert matrix. In both cases, the properties of proton conduction and mechanical strength are dissociated between the electrospun reinforcement and the matrix polymer. Electrospun nanofibers of chemically stable and mechanically strong polymers like polyvinylidene fluoride, poly(phenyl sulfone), polybenzimidazole (PBI), and polyimide show exceptional tensile strength and stiffness particularly because of the orientation phenomena resulting from extensional forces experienced by the macromolecular chains during the process.
For example, on embedding low EW Aquivion® into non-welded electrospun PBI nanofiber mats, the ionic crosslinking between the basic sites of PBI and the acidic sites of the ionomer provides an additional reinforcing effect to bind the nanofiber mat and the ionomer threedimensionally, even across the membrane thickness. PBI-reinforced crosslinked (branched, high molecular weight) 700 EW Aquivion® has shown exceptional durability on OCV hold combined with wet/dry cycling between dry and supersaturated feed gases (an AST designed to accelerate both chemical and mechanical degradation processes) and outstanding stability during an extended accelerated aging regime. In fact, in a test protocol involving more than 2,300 h of operation at 80 °C and 30% RH, which included load cycling, stop/start cycling, and continuous operation, the OCV decreased from 0.98 to 0.93 V only, and the voltage decay was only 3% at 300 mA cm-2. In this case, the mechanical reinforcement properties are probably supplemented by the chemical degradation mitigation effect of PBI. Inorganic fibers of ZrP/ZrO2 obtained by reactive coaxial electrospinning have also been used to form nanocomposite systems with 700 EW SSC Aquivion®.22 Such nanofibers induced an increase of membrane stiffness with respect to both cast and extruded Aquivion®, including under high temperature and high humidity conditions. More generally, PFSA membranes can be very effectively strengthened by the presence of a nanometric inorganic component, particularly when there is an interaction through hydrogen bonding or proton transfer between the sulfonic acid sites of PFSA and the inorganic material.19 This interfacial interaction leads to an increase in the modulus and reduced membrane swelling.
The conductivity of single nanofibers of Nafion® is reported to be an order of magnitude higher than that of Nafion®, and this is ascribed to orientation of ionic domains along the Nafion® nanofiber axis.23 PFSA cannot be electrospun directly due to insufficient interchain entanglement. However, use of a carrier polymer such as a high molecular weight polyethylene oxide (PEO) allows PFSA nanofibers to be electrospun to a very high volume fraction, as shown in Figure 7 for Aquivion®.24 The amount of carrier polymer can be further reduced through the use of short-side-chain, low EW PFSAs which gives greater viscosity due to the greater ionic interactions.24 Composite membranes utilizing inert polymers embedded into ionomer fibers have been fabricated by electrospinning Nafion® and 3M™ PFSA with improved mechanical properties. Composite membranes have also been fabricated by dual-fiber electrospinning25 using Nafion® for PEMFC or functionalized polysulfone for alkaline fuel cells.
The amount of carrier polymer can be further reduced through the use of short-side chain and low EW PFSAs which give greater viscosity due to the greater ionic interactions (Table 1).

Figure 7.Scanning electron micrographs of Aquivion® electrospun nanofibers of EW 700, 830, 950, and 980.
Catalyst Ink and Fuel Cell Operation
The ionomer is an essential component of catalyst inks, since it extends the reaction zone and increases electrocatalyst utilization. To date, little is published on the use of the SSC ionomer in catalyst inks for coating fuel cell membranes or gas diffusion media. However, improved cell performance has been observed in MEAs comprising the SSC ionomer compared to baseline MEAs incorporating the LSC ionomer, particularly when the cell is operated at high temperature (90–140 °C) and low RH (dry-20%).26 This suggests the low EW SSC ionomers favor water mobility, proton conductivity, and oxygen reduction reaction kinetics through self-humidification during low RH operation. Furthermore, increased Pt utilization and effectiveness have been obtained. This may be considered indicative of increased accessibility of SSC ionomers to the graphitized carbon surface and Pt nanoparticles arising from more uniform and continuous coverage of catalyst and carbon particles.27 Polarization curves obtained with Nafion®-111 and Aquivion® E79-03S membranes under a pressure of 1.5 bar absolute and at temperatures 80–110 °C show that the SSC membrane is better able to sustain high temperature operation (Figure 8).28 The lower RH conditions at the cathode rather than the anode during this testing also provides insight into the ability of each type of membrane electrode assembly to utilize the water produced at the cathode. Thus differences in performance result from differences in the ohmic resistance which, in turn, is related to effective proton mobility and the rate of water flux through the membrane. Studies indicate that increasing the membrane IEC beyond an optimal value does not necessarily provide increased water transport and effective proton mobility due to the inherent link between water permeation and proton mobility.29 Furthermore, comparative load cycling at 120 °C and 40% RH led to a greater increase in membrane resistance with Nafion®-based MEAs than with Aquivion®-based MEAs.30 Finally, while LSC Nafion® has for many years been essentially the only electrolyte used in proton exchange membrane water electrolysers, recent studies using SSC AquivionR allow electrolyser operation up to 140 °C,31 low hydrogen crossover (<1 mA/cm2 at 1 bar absolute pressure), and high performance (1,650 mV at 2 A/cm2).

Figure 8.Polarization curves obtained with Nafion®-111 and Aquivion®-based MEAs under 1.5 bar abs. at 80–110 °C, at indicated relative humidities at the anode (RHA) and cathode (RHC). Reproduced from Reference28. Copyright 2010 Wiley-VCH.
Summary
Comparison of the compositional and structural differences of various PFSA membranes reveals materials that possess short side chains (SSC) possess higher crystallinity and heat of fusion. Also, the presence of SSC leads to higher water uptake and enhanced proton conductivity and provides higher tolerance toward the free radical attack leading to increased durability of the membranes. Thus, the presence of SSC in Aquivion® membranes makes them attractive for high temperature, high performance proton exchange membrane fuel cells, and proton exchange membrane water electrolysers.
Materials
References
如要继续阅读,请登录或创建帐户。
暂无帐户?