High Sensitivity Immunoassays to Detect Neurology Biomarkers
Protein biomarkers have emerged as a prominent focus of neurology research, particularly for conditions like Alzheimer’s disease, multiple sclerosis, and traumatic brain injury. As recent efforts have shifted towards studying serum and plasma samples for key biomarkers because they are more accessible than cerebrospinal fluid, SMC® high sensitivity immunoassay kits coupled with the SMCxPRO® immunoassay system have emerged as powerful tools that facilitate the earlier detection of critical neurological biomarkers in these sample types.
Leverage the ability of SMC® high sensitivity immunoassay kits to accurately and reliably measure key neurology protein analytes from health through disease to take your research to the next level.
Our growing menu of ultrasensitive assays for key neuroscience biomarkers includes:
- Phospho-Tau (T217)
- Phospho-Tau (T231)
- Neurofilament Light Chain (NF-L)
- Total Tau
- Phospho-Tau (T181)
- Amyloid Beta
- Total Alpha Synuclein
- Phospho-Alpha Synuclein (S129)
- Brain-Derived Neurotrophic Factor (BDNF)
- Glial Fibrillary Acidic Protein (GFAP)
NEW: SMC® Human pTau217 and SMC® Human pTau231 High Sensitivity Kits
Tau biomarkers, released from diseased and damaged neurons, aid in identifying abnormal tau protein accumulation, a key feature of neurodegenerative diseases. Detecting and measuring these proteins at low levels provides insights into the discovery and progression of such disorders, enabling the development and evaluation of therapies that manage these conditions.
Ultrasensitive SMC® immunoassay technology on the SMCxPRO® platform enables researchers to study low-abundant blood-based neurodegenerative biomarkers like Tau and profile subtle changes in expression. We have now added pTau217 and pTau231 to our growing list of neuroscience kits!
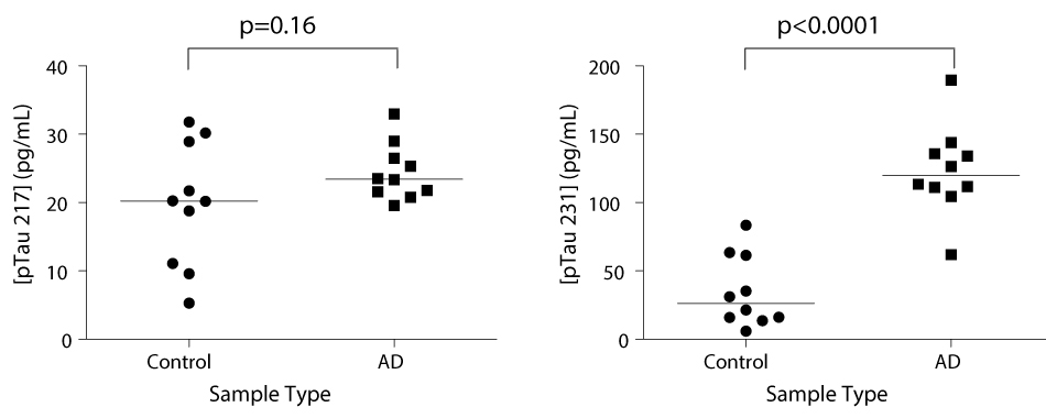
Representative Kit Data: Plasma pTau217 and pTau231 Measurements

Figure 1.Ten healthy (control) human plasma samples compared to 10 Alzheimer’s Disease (AD) human plasma samples using the SMC® pTauT217 and pTau231 kits. Displayed p values were obtained using the Mann-Whitney test.
Subscribe to Our Newsletter
Stay up to date on the latest immunoassay research trends and our newest product offerings by subscribing to our Analyte Update Newsletter.
Related Products
To continue reading please sign in or create an account.
Don't Have An Account?