Select a Size
About This Item
grade
certified reference material
Quality Level
form
liquid
feature
Snap-N-Spike®/Snap-N-Shoot®
packaging
ampule of 1 mL
manufacturer/tradename
Cerilliant®
concentration
100 μg/mL in acetonitrile
technique(s)
gas chromatography (GC): suitable, liquid chromatography (LC): suitable
application(s)
clinical testing
format
single component solution
storage temp.
−20°C
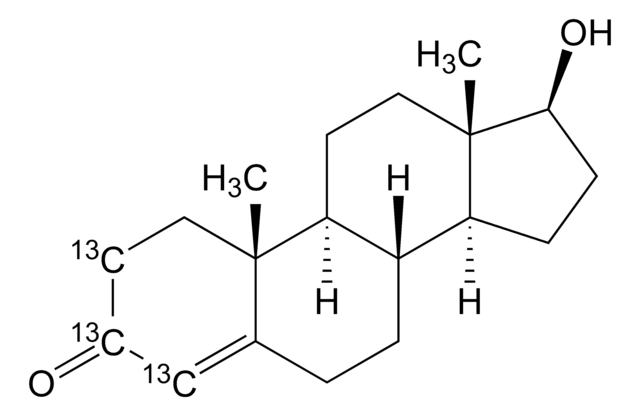
SMILES string
C[C@]12CC[C@H]3[C@@H](CCC4=[13CH][13C](=O)[13CH2]C[C@]34C)[C@@H]1CC[C@@H]2O
InChI
1S/C19H28O2/c1-18-9-7-13(20)11-12(18)3-4-14-15-5-6-17(21)19(15,2)10-8-16(14)18/h11,14-17,21H,3-10H2,1-2H3/t14-,15-,16-,17-,18-,19-/m0/s1/i7+1,11+1,13+1
InChI key
MUMGGOZAMZWBJJ-KRMLYXHASA-N
General description
Legal Information
Disclaimer
Still not finding the right product?
Explore all of our products under Testosterone-2,3,4-13C3 solution
signalword
Danger
Hazard Classifications
Acute Tox. 4 Dermal - Acute Tox. 4 Inhalation - Acute Tox. 4 Oral - Eye Irrit. 2 - Flam. Liq. 2
Storage Class
3 - Flammable liquids
wgk
WGK 2
flash_point_f
35.6 °F - closed cup
flash_point_c
2 °C - closed cup
Regulatory Information
This item has
Certificates of Analysis (COA)
Search for Certificates of Analysis (COA) by entering the products Lot/Batch Number. Lot and Batch Numbers can be found on a product’s label following the words ‘Lot’ or ‘Batch’.
Already Own This Product?
Find documentation for the products that you have recently purchased in the Document Library.
Articles
Accurate steroid analysis in blood serum using Supel™ Swift HLB DPX Tips; UTAK and NIST standards.

