Select a Size
About This Item
grade
pharmaceutical primary standard
API family
digitalis
manufacturer/tradename
EDQM
application(s)
pharmaceutical (small molecule)
format
neat
storage temp.
2-8°C
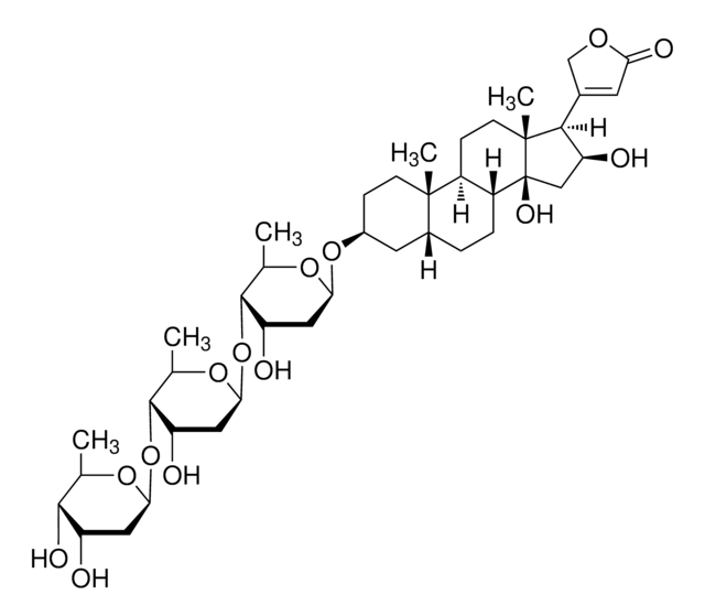
SMILES string
C[C@H]1O[C@H](C[C@H](O)[C@@H]1O)O[C@H]2[C@@H](O)C[C@@H](O[C@@H]2C)O[C@H]3[C@@H](O)C[C@@H](O[C@@H]3C)O[C@H]4CC[C@@]5(C)[C@H](CC[C@@H]6[C@@H]5CC[C@]7(C)[C@H]([C@@H](O)C[C@]67O)C8=CC(=O)OC8)C4
InChI
1S/C41H64O14/c1-19-36(47)27(42)14-33(50-19)54-38-21(3)52-34(16-29(38)44)55-37-20(2)51-32(15-28(37)43)53-24-8-10-39(4)23(13-24)6-7-26-25(39)9-11-40(5)35(22-12-31(46)49-18-22)30(45)17-41(26,40)48/h12,19-21,23-30,32-38,42-45,47-48H,6-11,13-18H2,1-5H3/t19-,20-,21-,23-,24+,25+,26-,27+,28+,29+,30+,32+,33+,34+,35+,36-,37-,38-,39+,40-,41+/m1/s1
InChI key
LKRDZKPBAOKJBT-CNPIRKNPSA-N
General description
Application
Packaging
Other Notes
Still not finding the right product?
Explore all of our products under Gitoxin
signalword
Danger
hcodes
Hazard Classifications
Acute Tox. 2 Dermal - Acute Tox. 2 Inhalation - Acute Tox. 2 Oral
Storage Class
6.1A - Combustible acute toxic Cat. 1 and 2 / very toxic hazardous materials
wgk
WGK 3
Choose from one of the most recent versions:
Already Own This Product?
Find documentation for the products that you have recently purchased in the Document Library.
