Skip to Content
Merck
CN

A9041

Arg-Gly-Asp-Ser

≥95% (HPLC)

Sign In to View Organizational & Contract Pricing.

Select a Size

Change View

About This Item

Empirical Formula (Hill Notation):
C15H27N7O8
CAS Number:
Molecular Weight:
433.42
NACRES:
NA.32
PubChem Substance ID:
UNSPSC Code:
12352209
MDL number:
Form:
powder
Assay:
≥95% (HPLC)
Biological source:
synthetic
Technical Service
Need help? Our team of experienced scientists is here for you.
Let Us Assist


biological source

synthetic

Quality Level

assay

≥95% (HPLC)

form

powder

composition

Peptide content, ~70%

technique(s)

cell culture | mammalian: suitable

storage temp.

−20°C

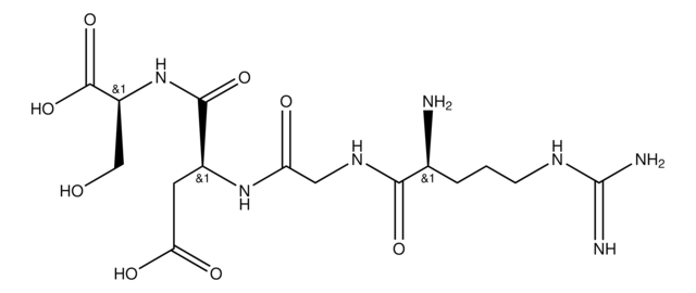
SMILES string

N[C@@H](CCCNC(N)=N)C(=O)NCC(=O)N[C@@H](CC(O)=O)C(=O)N[C@@H](CO)C(O)=O

InChI

1S/C15H27N7O8/c16-7(2-1-3-19-15(17)18)12(27)20-5-10(24)21-8(4-11(25)26)13(28)22-9(6-23)14(29)30/h7-9,23H,1-6,16H2,(H,20,27)(H,21,24)(H,22,28)(H,25,26)(H,29,30)(H4,17,18,19)/t7-,8-,9-/m0/s1

InChI key

NNRFRJQMBSBXGO-CIUDSAMLSA-N

Gene Information

human ... ITGA2B(3674), ITGB3(3690)
mouse ... Itgb3(16416)

General description

The tetrapeptide Arg-Gly-Asp-Ser (RGDS) is a key component of the cell attachment domain of fibronectin. The RGDS sequence was found initially to promote the attachment of rat kidney fibroblasts (NRKcells) to fibronectin and synthetic fibronectin peptides coupled to protein-coated plastic. Further investigation indicated that the free RGDS peptide inhibited the attachment of NRK cells to fibronectin coated substrates. The RGDS sequence has been shown to occur in several other proteins, such as the λ receptor on E. coli and the Sindbis coat protein. RGDS is also a target sequence for spirochete adherence of the syphilis bacterium Treponema pallidum.

RGDS has been shown to block fibrinogen-induced aggregation of intact erythrocytes and specific binding of fibrinogen to erythrocyte membranes. The effect of RGDS on transforming growth factor β1 (TGFβ1) mRNA expression and secretion in cultured human mesangial cells has been investigated. RGDS has been utilized in a study of integrin-mediated signal transduction in cultured cells from the sponge Suberites domuncula. RGDS has been demonstrated
to mitigate the binding of Mycobacterium tuberculosis to murine alveolar macrophages

Application

Arg-Gly-Asp-Ser has been used:
  • to study its effects on cell attachment in rats
  • to analyse the interaction of fibrinogen with erythrocytes occurs through integrin related receptor
  • to pretreat the cells, to assess the role of integrin in the cell attachment process
  • to test its competition with platelet-secreted, nanosheet-adsorbed proteins for binding to glycoprotein IIIa (GPIIIa)

Packaging

Bottomless glass bottle. Contents are inside inserted fused cone.

Preparation Note

This product is soluble in water (1 mg/ml), yielding a
clear, colorless solution.

Other Notes

Lyophilized from 0.1% TFA in H2O


Storage Class

11 - Combustible Solids

wgk

WGK 3

flash_point_f

Not applicable

flash_point_c

Not applicable

ppe

Eyeshields, Gloves, type N95 (US)



Choose from one of the most recent versions:

Certificates of Analysis (COA)

Lot/Batch Number

Don't see the Right Version?

If you require a particular version, you can look up a specific certificate by the Lot or Batch number.

Already Own This Product?

Find documentation for the products that you have recently purchased in the Document Library.

Visit the Document Library


Articles

组织工程已成为治疗受损或患病的器官和组织(例如血管和尿囊)的关键治疗工具。

Tissue engineering has become a key therapeutic tool in the treatment of damaged or diseased organs and tissues, such as blood vessels and urinary bladders.


Bartley J Gill et al.
Cancer research, 72(22), 6013-6023 (2012-09-07)
Better understanding of the biophysical and biochemical cues of the tumor extracellular matrix environment that influence metastasis may have important implications for new cancer therapeutics. Initial exploration into this question has used naturally derived protein matrices that suffer from variability
Songfeng Han et al.
PloS one, 13(5), e0197031-e0197031 (2018-05-31)
Blood flow changes during bone graft healing have the potential to provide important information about graft success, as the nutrients, oxygen, circulating cells and growth factors essential for integration are delivered by blood. However, longitudinal monitoring of blood flow changes
Gadolinium effects on gigaseal formation and the adhesive properties of a fungal amoeboid cell, the slime mutant of Neurospora crassa
Dunina BAY, et al.
The Journal of Membrane Biology, 198(2), 77-87 (2004)



Global Trade Item Number

SKUGTIN
A9041-10MG04061833258491
A9041-2MG04061833401224
A9041-5MG04061833258507