Skip to Content
Merck
CN

L0649

Leupeptin hydrochloride

powder, ≥70% (HPLC)

Synonym(s):

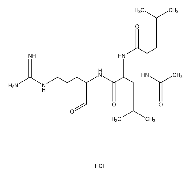
Acetyl-Leu-Leu-Arg-al hydrochloride

Sign In to View Organizational & Contract Pricing.

Select a Size

Change View

About This Item

Empirical Formula (Hill Notation):
C20H38N6O4 · HCl
CAS Number:
Molecular Weight:
463.01
UNSPSC Code:
12352202
PubChem Substance ID:
NACRES:
NA.77
MDL number:
Technical Service
Need help? Our team of experienced scientists is here for you.
Let Us Assist


Product Name

Leupeptin hydrochloride, microbial, ≥70% (HPLC)

biological source

microbial

Quality Level

assay

≥70% (HPLC)

form

powder

solubility

water: 50 mg/mL, clear, colorless to yellow

storage temp.

−20°C

SMILES string

Cl.CC(C)CC(NC(C)=O)C(=O)NC(CC(C)C)C(=O)NC(CCCNC(N)=N)C=O

InChI

1S/C20H38N6O4.ClH/c1-12(2)9-16(24-14(5)28)19(30)26-17(10-13(3)4)18(29)25-15(11-27)7-6-8-23-20(21)22;/h11-13,15-17H,6-10H2,1-5H3,(H,24,28)(H,25,29)(H,26,30)(H4,21,22,23);1H

InChI key

OQQYPQNFLLAILR-UHFFFAOYSA-N

Biochem/physiol Actions

Inhibitor of serine and cysteine proteases. Inhibits plasmin, trypsin, papain, calpain, and cathepsin B. Does not inhibit pepsin, cathepsins A and D, thrombin, or α-chymotrypsin. Effective concentration 10-100 μM.
Inhibitor of serine and cysteine proteases. Inhibits plasmin, trypsin, papain, calpain, and cathepsin B. Does not inhibit pepsin, cathepsins A and D, thrombin, or α-chymotrypsin. Effective concentration 10-100 μM. There have been numerous studies using leupeptin to protect against hearing loss caused by acoustic overstimulation or the ototoxic antibiotic gentamicin. (Loss of cochlear hair cells is believed to be mediated by calpain.)

Analysis Note

Leupeptin gives multiple peaks on HPLC because of the formation of tautomeric isomers in solution. Majority of contaminating peptide is racemized leupeptin.


Still not finding the right product?

Explore all of our products under Leupeptin hydrochloride


Storage Class

11 - Combustible Solids

wgk

WGK 3

flash_point_f

Not applicable

flash_point_c

Not applicable

ppe

Eyeshields, Gloves, type N95 (US)

Regulatory Information

常规特殊物品

This item has



Choose from one of the most recent versions:

Certificates of Analysis (COA)

Lot/Batch Number

Don't see the Right Version?

If you require a particular version, you can look up a specific certificate by the Lot or Batch number.

Already Own This Product?

Find documentation for the products that you have recently purchased in the Document Library.

Visit the Document Library



Suzanne Elsasser et al.
Methods in molecular biology (Clifton, N.J.), 832, 403-422 (2012-02-22)
The proteasome is an ATP-dependent molecular machine that degrades proteins through the concerted activity of dozens of subunits. It is the yin to the ribosome's yang, and together these entities mold the protein landscape of the cell. Native gels are
Boris Slobodin et al.
Methods in molecular biology (Clifton, N.J.), 714, 387-406 (2011-03-25)
RNA metabolism involves regulatory processes, such as transcription, splicing, nuclear export, transport and localization, association with sites of RNA modification, silencing and decay, and necessitates a wide variety of diverse RNA-interacting proteins. These interactions can be direct via RNA-binding proteins
Kim M Truong et al.
Toxicological sciences : an official journal of the Society of Toxicology, 170(2), 509-524 (2019-05-28)
Dichlorodiphenyltrichloroethane (DDT) and its metabolite dichlorodiphenyldichloroethylene (DDE) are ubiquitous in the environment and detected in tissues of living organisms. Although DDT owes its insecticidal activity to impeding closure of voltage-gated sodium channels, it mediates toxicity in mammals by acting as



Global Trade Item Number

SKUGTIN
L0649-100MG04061833262986
L0649-25MG04061833948910
L0649-5MG04061833948927