Skip to Content
Merck
CN

SML2683

dBET6

≥98% (HPLC)

Synonym(s):

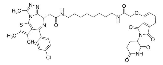
(6S)-4-(4-Chlorophenyl)-N-[8-[[2-[[2-(2,6-dioxo-3-piperidinyl)-2,3-dihydro-1,3-dioxo-1H-isoindol-4-yl]oxy]acetyl]amino]octyl]-2,3,9-trimethyl-6H-thieno[3,2-f][1,2,4]triazolo[4,3-a][1,4]diazepine-6-acetamide

Sign In to View Organizational & Contract Pricing.

Select a Size

Change View

About This Item

Empirical Formula (Hill Notation):
C42H45ClN8O7S
CAS Number:
Molecular Weight:
841.37
UNSPSC Code:
12352200
NACRES:
NA.77
MDL number:
Assay:
≥98% (HPLC)
Form:
powder
Technical Service
Need help? Our team of experienced scientists is here for you.
Let Us Assist


ligand

thalidomide

assay

≥98% (HPLC)

form

powder

color

white to beige

solubility

DMSO: 2 mg/mL, clear

storage temp.

−20°C

SMILES string

[s]1c2c(c(c1C)C)C(=N[C@H](c7[n]2c(nn7)C)CC(=O)NCCCCCCCCNC(=O)COc4c5c(ccc4)C(=O)N(C5=O)C6CCC(=O)NC6=O)c3ccc(cc3)Cl

InChI

1S/C42H45ClN8O7S/c1-23-24(2)59-42-35(23)37(26-13-15-27(43)16-14-26)46-29(38-49-48-25(3)50(38)42)21-33(53)44-19-8-6-4-5-7-9-20-45-34(54)22-58-31-12-10-11-28-36(31)41(57)51(40(28)56)30-17-18-32(52)47-39(30)55/h10-16,29-30H,4-9,17-22H2,1-3H3,(H,44,53)(H,45,5

InChI key

JGQPZPLJOBHHBK-UFXYQILXSA-N

Biochem/physiol Actions

dBET6 is a highly cell penetrant, potent and selective BET (bromodomain and extra-terminal domain) degrader that induces rapid (<4hrs) degradation of BRD2, BRD3 and BRD4 and complete down-regulation of c-MYC protein and induction of apoptosis. dBET6 exhibits potent anti-cancer activities.
highly cell penetrant, potent and selective BETdegrader that induces rapid degradation of BRD2, BRD3 and BRD4


Storage Class

11 - Combustible Solids

wgk

WGK 3

flash_point_f

Not applicable

flash_point_c

Not applicable

Regulatory Information

新产品

This item has



Choose from one of the most recent versions:

Certificates of Analysis (COA)

Lot/Batch Number

It looks like we've run into a problem, but you can still download Certificates of Analysis from our Documents section.

If you need assistance, please contact Customer Support

Already Own This Product?

Find documentation for the products that you have recently purchased in the Document Library.

Visit the Document Library