Skip to Content
Merck
CN

Organosilicon Reagents

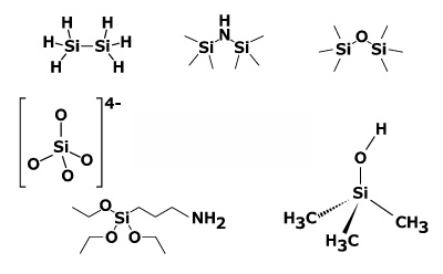
Common organosilicon reagents structures including disilanes, silanols, silazanes, silicates, siloxanes, and trialkoxysilanes

Our organosilicon and related silicon reagents have many practical synthesis applications, as well as manufacturing applications in the production of adhesives, sealants, automotive lubricants, computer chips, and dry-cleaning solvents to healthcare products such as skin care products, small molecule drugs, and contacts.  

Due to drawbacks inherent in transition-metal-catalyzed cross-coupling of organometallic reagents with organic halides, organosilicon reagents have emerged as suitable alternatives. The lack of toxicity, high chemical stability, and low molecular weight of organosilane compounds make them ideal for use as nucleophilic partners in cross-coupling with organic halides and pseudohalides. The conditions for the construction of new C–C bonds via palladium-catalyzed cross-coupling of organosilanes are mild but require a nucleophilic promoter to provide high yields of the desired cross-coupling products. The byproducts of the cross-coupling reaction are polysiloxanes, which can be easily removed by conventional methods such as chromatography (silica gel or reverse-phase) or distillation. We are proud to offer a large variety of silicon compounds that are highly competent coupling partners for the palladium-catalyzed cross-coupling reaction to make your breakthroughs feel closer than ever.


Products





Compare
Product Number
Product Name
Product Description
Pricing

Related Resources


Disilanes

Disilanes are widely utilized in the manufacturing of photovoltaic devices (e.g. silicon wafers, thin film transistors, solar cells) via chemical vapor deposition of amorphous silicon, which is the deposition product of thermally decomposed disilanes. Disilanes are also utilized in the synthesis of allylsilanes via silyl nucleophilic substitution reactions with allylic carbonates under micellar catalytic conditions. The mildness of the reaction conditions in H2O-based media allows for applications in one-pot synthesis sequences.

Silanols

The Pd-catalyzed cross-coupling of silicon compounds has rapidly gained acceptance as a suitable alternative to more commonly known methods such as: Stille (Sn), Kumada (Mg), Suzuki (B), and Negishi (Zn) cross-couplings, which frequently utilizes silanols. In the presence of a fluoride activation source, alkenyl(dimethyl)silanols readily react with both aryl and alkenyl halides to give the coupled adducts very good yields. Alternatively, the Pd-catalyzed cross-coupling can also be performed under basic activation using TMSOK for in situ generation of a nucleophilic silanolate. The utility of performing the cross-coupling under basic activation lies in the ability to perform the reaction in the presence of fluoride-sensitive silyl protecting groups. Alkynylsilanols are also active coupling partners under similar conditions.

Silazanes

Silazanes are a family of hybrid organic–inorganic materials prepared by the ammonolysis or aminolysis of chlorosilanes. Various silazanes and silazane polymers have been synthesized and investigated as precursors of silicon carbonitride ceramics, coatings, surface modifiers, and additives of silicone rubbers. They effectively impede the rearranging degradation of polysiloxane chains by removal of trace water or the SiAOH group using the reactivity of SiAN bond, and thus improve the thermal stability of silicone rubbers. Silazanes are also used to modify organic intermediates to make chemical processing reactions possible or more efficient, and to incorporate silicon chemicals into finished products to modify their physical properties.

Silicates

The majority of silicates are oxides that are extensively used in materials science and engineering. Doped silicates confer specific properties to materials. These products can be applied to xerogel and silica sol-gel synthesis, formation of hexagonal mesoporous silica layers, H+-magadiite intercalation, and to the study of mixed-metal bioactive glasses and other bioactive materials utilized in bioengineering.

Siloxanes

The use of silicon compounds as transmetalation reagents has attracted much attention as a viable alternative to the popular Stille and Suzuki coupling reactions, mainly due to the formation of nontoxic byproducts and the stability of the reagents in many reaction conditions. Silicon-based coupling reactions can be carried out using aryl, heteroaryl, or alkenyl halides and alkoxysilanes in the presence of palladium or rhodium catalysts. Among the various types of silicon compounds available, alkoxysilanes are the most effective in the coupling reactions. Trialkoxysilanes are important silylating agents and are widely used for surface functionalization via modification of substrates under standard solution deposition conditions. As a practical alternative to Stille and Suzuki coupling, the rhodium-catalyzed addition of trialkoxysilanes to carbonyl compounds is a feasible substitute.




Sign In To Continue

To continue reading please sign in or create an account.

Don't Have An Account?