
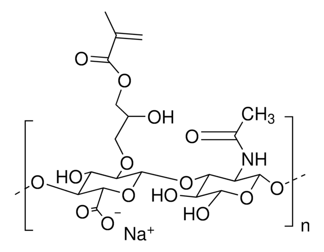
Hyaluronic acid methacrylate

Linear Formula:
(NaC20H28NO15)n
Products
Product Category
Brand
Color
Physical Form
Quality Segment
Particle Size (µm)
Polymer Composition
Polymer Type
Sterilization Method
Showing 1-4 of 4
Compare
Product Number
Description
Pricing