Determination of Rutin in Anti-Aging Skin Cream Formulations Using Chromolith® HighResolution RP-18 Endcapped Column and UV Detection
Introduction
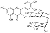
Rutin, also known as rutoside, quercetin-3-O-rutinoside, or sophorin, is a quercetin glycoside found in various plants, including buckwheat and asparagus. The chemical structure contains units of Rutoside and the disaccharide rutinose (α-L-rhamnopyranosyl-(1→6)-β-D-glucopyranose).
Rutin is believed to possess antioxidant properties, and/or posses anti‑aging effects on human dermal fibroblasts and human skin. Like other bioflavonoids, Rutin is investigated for its biological activity and often formulated as skin cream, i.e. semi-solid emulsions of oil and water, products.
HPLC analysis of skin cream formulations can profit from use of monolithic rods over particle based columns, due to higher tolerance against matrix heavy samples. This application illustrate how Rutin can be determined in skin cream samples using a monolithic Chromolith® HighResolution RP-18 endcapped column with UV detection. Cream samples would only require ethanol-solubilization and filtration prior to analysis, lowering both the cost and time of analysis.

Standard Solution

Figure 1.Determination of Rutin - Standard Solution
Cream Samples


Figures 2 and 3.Cream samples

Figure 4.Determination of Rutin - Validation Data
Materials
To continue reading please sign in or create an account.
Don't Have An Account?