Coupling Protocol for Primary Amine of a Ligand
NHS-activated Sepharose High Performance, NHS-activated Sepharose 4 Fast Flow
NHS-activated Sepharose is designed for the covalent coupling of ligands (often antigens or antibodies) containing primary amino groups (the most common form of attachment). The matrix of NHS-activated Sepharose High Performance is based on highly cross-linked agarose beads with 10-atom spacer arms (6-aminohexanoic acid) attached by epichlorohydrin and activated by N-hydroxysuccinimide (Figure 4.2). The matrix of NHS-activated Sepharose 4 Fast Flow is based on highly cross-linked agarose beads with 14-atom spacer arms. Nonspecific adsorption of proteins to NHS-activated Sepharose (which can reduce binding capacity of the target protein) is negligible due to the excellent hydrophilic properties of the base matrix. The matrix is stable at high pH to allow stringent washing procedures (subject to the pH stability of the coupled ligand)

Figure 4.2.Partial structure of NHS-activated Sepharose High Performance bearing activated spacer arms.
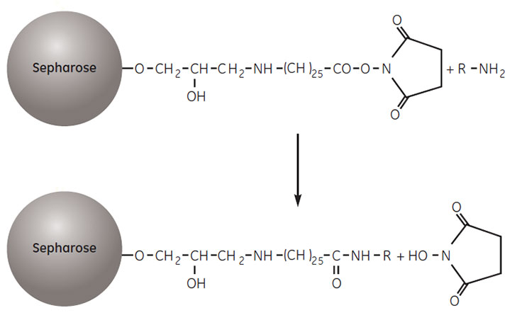
Ligands containing amino groups couple rapidly and spontaneously by nucleophilic attack at the ester linkage to give a very stable amide linkage (Figure 4.3). The amide bond is stable up to pH 13.0 making NHS-activated Sepharose suitable for applications that require conditions at high pH.

Figure 4.3.Coupling a ligand to NHS-activated Sepharose High Performance.
Chromatography media characteristics
Characteristics of NHS-activated Sepharose chromatography media are shown in Table 4.3.
1Short term refers to the pH interval for regeneration, cleaning-in-place, and sanitization procedures. Stability data refers to the coupled medium provided that the ligand can withstand the pH. Long term refers to the pH interval over which the matrix is stable over a long period of time without adverse effects on its subsequent chromatographic performance.
Purification options
NHS-activated Sepharose chromatography media and prepacked columns are described in Table 4.4.
1 See Appendix 4 to convert flow velocity (cm/h) to volumetric flow rate (ml/min). Maximum operating flow is calculated from measurement in a packed column with a bed height of 10 cm and i.d. of 5 cm.
Figure 4.4 shows that over 30 mg IgG can be coupled to a 1 mL HiTrap® NHS-activated HP column.The coupling process takes less than 15 min. The AC medium is then ready to use for antigen purification.

Figure 4.4. Ligand coupling to HiTrap® NHS-activated HP.
Purification examples
AC can be used to produce monospecific antibodies from polyclonal sera. This approach was taken by the Human Protein Atlas project (www.proteinatlas.org) on a proteome-wide scale. Polyclonal antibodies were raised in rabbits to all proteins encoded for by the human genome. Each antibody serum was purified using HiTrap® NHS-activated columns to which antigen epitopes had been immobilized (Figure 4.5). Elution was achieved by lowering the pH to 2.5. The required high throughput was obtained by using 12 modules of an ÄKTA system to purify 48 polyclonal antisera per day.

Figure 4.5.Elution of purified antibody from the antigen-specific column and desalting on HiTrap® Desalting, 5 mL (courtesy of the Human Protein Atlas project).
Performing a separation
HiTrap® NHS-activated HP
The protocol below describes the preparation of a prepacked HiTrap® NHS-activated HP column and is generally applicable to NHS-activated Sepharose chromatography media.
The activated matrix is supplied in 100% isopropanol to preserve the stability before coupling. Do not replace the isopropanol until it is time to couple the ligand.
Ligand and column preparation
- Dissolve the ligand in the coupling buffer to a final concentration of 0.5 to 10 mg/mL (for protein ligands) or perform a buffer exchange using a desalting column (Buffer exchange and desalting in Appendix 1). The optimal concentration depends on the ligand. Dissolve the ligand in one column volume of buffer.
- Remove the top cap from the column and apply a drop of ice-cold 1 mM HCl to the top of the column to avoid air bubbles.
- Connect the top of the column to the syringe or pump.
- Remove the snap-off end.
Ligand coupling
- Wash out the isopropanol with 3 × 2 CV of ice-cold 1 mM HCl.
- Inject 1 CV of ligand solution onto the column.
- Seal the column. Leave for 15 to 30 min at 25 °C (or 4 h at 4 °C).
Recirculate the solution if larger volumes of ligand solution are used. For example, when using a syringe, connect a second syringe to the outlet of the column and gently pump the solution back and forth for 15 to 30 min or, if using a peristaltic pump, circulate the ligand solution through the column.
Do not use excessive flow rates. Maximum recommended flow rates are 1 mL/min (equivalent to approximately 30 drops/min when using a syringe) with HiTrap® 1 mL columns. For HiTrap® 5 mL columns, the recommended flow rate is 5 mL/min (equivalent to approximately 120 drops/min when using a syringe). The column contents can be irreversibly compressed.
Measure the efficiency of protein ligand by comparing the A280 values of the ligand solution before and after coupling. Note that the N-hydroxysuccinimide, released during the coupling procedure, absorbs strongly at 280 nm and should be removed from the used coupling solution before measuring the concentration of the remaining ligand. Use a small desalting column (Buffer exchange and desalting, Appendix 1) to remove N-hydroxysuccinimide from protein ligands. Alternative methods for the measurement of coupling efficiency are described in Binding capacity, ligand density, and coupling efficiency earlier in this chapter and in the HiTrap® NHS-activated HP instructions.
Washing and deactivation
This procedure deactivates any excess active groups that have not coupled to the ligand and washes out nonspecifically bound ligands.
- Inject 3 × 2 CV of blocking buffer.
- Inject 3 × 2 CV of wash buffer.
- Inject 3 × 2 CV of blocking buffer.
- Let the column stand for 15 to 30 min.
- Inject 3 × 2 CV of wash buffer.
- Inject 3 × 2 CV of blocking buffer.
- Inject 3 × 2 CV of wash buffer.
- Inject 2 to 5 CV of a buffer with neutral pH.
The column is now ready for use.
Storage
Store the column in a solution that maintains the stability of the ligand and contains a bacteriostatic agent.
pH stability of the chromatography medium when coupled to the chosen ligand will depend upon the stability of the ligand itself.
CNBr-activated Sepharose
CNBr-activated Sepharose offers a well-established option for the attachment of larger ligands and is an alternative to NHS-activated Sepharose.
Cyanogen bromide reacts with hydroxyl groups on Sepharose to form reactive cyanate ester groups. Proteins, peptides, amino acids, or nucleic acids can be coupled to CNBr-activated Sepharose, under mild conditions, via primary amino groups or similar nucleophilic groups. The activated groups react with primary amino groups on the ligand to form isourea linkages (Figure 4.6). The coupling reaction is spontaneous and requires no special chemicals or equipment. The resulting multipoint attachment ensures that the ligand does not hydrolyze from the matrix. The activation procedure also cross-links Sepharose and thus enhances its chemical stability, offering considerable flexibility in the choice of elution conditions.

Figure 4.6.Activation by cyanogen bromide and coupling to the activated matrix.
Chromatography media characteristics
Characteristics of CNBr-activated Sepharose chromatography media are shown in Table 4.5.
Table 4.5. Characteristics of CNBr-activated Sepharose chromatography media
1Short term refers to the pH interval for regeneration, cleaning-in-place, and sanitization procedures. Stability data refers to the coupled medium provided that the ligand can withstand the pH. Long term refers to the pH interval over which the matrix is stable over a long period of time without adverse effects on its subsequent chromatographic performance.
Purification options
Available CNBr-activated Sepharose chromatography media are shown in Table 4.6.
Purification examples
There are many examples in the literature of the use of CNBr-activated Sepharose. Figure 4.7 shows the separation of a native outer envelope glycoprotein, gp120, from HIV-1 infected T-cells. Galanthus nivalis agglutinin (GNA), a lectin from the snowdrop bulb, was coupled to CNBr-activated Sepharose 4 Fast Flow to create a suitable AC medium.

Figure 4.7.Separation of native gp120 protein on GNA coupled to CNBr-activated Sepharose 4 Fast Flow. From Gilljam, G. et al., Purification of native gp120 from HIV-1 infected T-cells; poster presented at Recovery of Biological Products VII, San Diego, CA, USA (1994).
Performing a separation
Buffer preparation
Acidification solution: 1 mM HCl (kept on ice) Coupling buffer: 200 mM NaHCO3, 500 mM NaCl, pH 8.3 Blocking buffer: 1 M ethanolamine or 200 mM glycine, pH 8.0 Wash buffer: 100 mM acetate, 500 mM NaCl, pH 4.0
Preparation of CNBr-activated Sepharose 4 Fast Flow and CNBr-activated Sepharose 4B
- Suspend the required amount of freeze-dried powder in ice-cold 1 mM HCl (HCl preserves the activity of the reactive groups that hydrolyze at high pH).
- Wash for 15 min on a sintered glass filter (porosity G3), using a total of 200 mL of 1 mM HCl per gram dry powder, added and removed by suction in several aliquots. The final aliquot of 1 mM HCl is removed by suction until cracks appear in the cake.
- Transfer the matrix immediately to the ligand solution.
Preparation of the matrix should be completed without delay since reactive groups on the matrix hydrolyze at the coupling pH.
Do not use buffers containing amino groups at this stage since they will couple to the matrix.
Ligand preparation
Dissolve the ligand in the coupling buffer to a final concentration of 0.5 to 10 mg/mL (for protein ligands) or perform a buffer exchange using a desalting column (page 133). The optimal concentration depends on the ligand. Use a matrix:buffer ratio of 1:0.5 to 1:1.
Ligand coupling
- Mix the ligand solution with suspension in an end-over-end or similar mixer for 2 h at room temperature or overnight at 4 °C. A matrix: buffer ratio of 1:0.5 to 1:1 gives a suitable suspension for coupling.
- Transfer the medium to blocking buffer for 16 h at 4 °C or 2 h at room temperature to block any remaining active groups. Alternatively, leave the medium for 2 h in Tris-HCl buffer, pH 8.0.
- Remove excess ligand and blocking agent by alternately washing with coupling buffer followed by wash buffer. Repeat four or five times.
Do not use magnetic stirrers as they can disrupt the Sepharose matrix.
The coupling reaction proceeds most efficiently when the amino groups on the ligand are predominantly in the unprotonated form. A buffer at pH 8.3 is most frequently used for coupling proteins. The high salt content of the coupling buffer minimizes protein-protein adsorption caused by the polyelectrolyte nature of proteins.
Coupling of α-chymotrypsinogen by the method described here typically yields about 90% coupled protein. It might be necessary to reduce the number of coupling groups on the matrix to preserve the structure of binding sites in a labile molecule, or to facilitate elution when steric effects reduce the binding efficiency of a large ligand. Reduced coupling activity may be achieved by controlled hydrolysis of the activated matrix before coupling, or by coupling at a lower pH. Prehydrolysis reduces the number of active groups available for coupling and reduces the number of points of attachment between the protein and matrix as well as the amount of protein coupled. In this way a higher binding activity of the product can be obtained. At pH 3.0, coupling activity is lost only slowly, whereas at pH 8.3 activity is lost fairly rapidly. A large molecule is coupled at about half as many points after 4 h of prehydrolysis at pH 8.3 (Figure 4.8).

Figure 4.8.Variation of coupling activity with time of pre-hydrolysis at pH 8.3. CNBr-activated Sepharose 4B was washed at pH 3.0 and transferred to 100 mM NaHCO3, pH 8.3 for prehydrolysis. Samples were removed after different times and tested for coupling activity towards a-chymotrypsinogen (A) and glycyl-leucine (B).
Coupling at low pH is less efficient, but can be advantageous if the ligand loses biological activity when it is fixed too firmly, for example, by multipoint attachment, or because of steric hindrance between binding sites which occurs when a large amount of high molecular weight ligand is coupled. Use a buffer of approximately pH 6.0.
IgG is often coupled at a slightly higher pH, for example in 200 to 250 mM NaHCO3, 500 mM NaCl, pH 8.5 to 9.0.
Storage
Store the freeze-dried powder below 8 °C in dry conditions.
Store the column in a solution that maintains the stability of the ligand and contains a bacteriostatic agent, 20% ethanol in a suitable buffer.
The pH stability of the chromatography medium when coupled to the chosen ligand will depend upon the stability of the ligand itself.
Materials
To continue reading please sign in or create an account.
Don't Have An Account?