HPLC-UV Analysis of Caffeine and Catechins in Green Tea (Decaffeinated)
INTRODUCTION
Tea from the leaves of Camellia sinensis is used to make green tea, black tea, white tea, and oolong tea. The different teas are possible due to the different processing employed. Green tea is not fermented so its polyphenolic components of which the majority are catechins are not oxidized. As such, this decaffeinated green tea assay focuses on catechins and caffeine.
Here, we describe and validate an HPLC method as per Ph. Eur. Monograph 2668 (04/2018)1 as a reference method for the separation and quantification of catechins and caffeine in decaffeinated green tea using a Chromolith® High Resolution RP-18e 150 x 4.6 mm column (Table 1). The monolithic silica column, due to its bimodal pore structure, provides advantages regarding column backpressure and matrix robustness for the analysis of such natural matrix samples.

Figure 1.Chemical structures of catechins and caffeine

Figure 2.Blank chromatogram.

Figure 3.Chromatogram of reference solution A.

Figure 4.Chromatogram of catechin and caffeine standard mixture. See Table 4 for retention times (determined with single solution standards).

Figure 5.Chromatogram of green tea sample 1

Figure 6.Chromatogram of green tea sample 2.
*Decaffeinated tea would still have minor amounts of caffeine as observed in the tea sample chromatograms. The decaffeination process can reduce the caffeine amount to <2.5% of the original caffeine load.
System Suitability and Repeatability Data
Method Sensitivity and Linearity

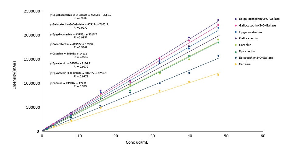
Figure 7.Calibration curves for the catechins and caffeine.
% Recovery values of the Catechins and Caffeine spiked into decaffeinated green tea sample are displayed in Table 7.
CONCLUSION
A gradient reverse phase HPLC method for the green tea assay using the monolithic HPLC column following the Ph. Eur. Monograph 2668 (04/2018)has been modified and validated. It was shown that the Chromolith® High resolution column offers good resolution (>2) between each of the catechins present in decaffeinated green tea.
The assay method as per Ph. Eur. (edition 10) is simple, linear, and specific. The Limits of Detection (LOD) ranged from 2.58 to 4.54 µg/mL and the Limits of Quantification (LOQ) was from 7.82 to 13.74 µg/mL with good linearity up to 48 µg/mL for the determined catechins and caffeine.
The % RSD for system precision of the catechins and caffeine was <2%. The analyte recovery of the catechins and caffeine ranged from 90.1 to 107.9%.
The Chromolith® High Resolution RP-18e column is an ideal column for this application as it offers due to its bimodal pore structure the advantage of low back pressure and matrix robustness for a longer lifetime compared to the traditional porous particulate columns without sacrificing resolution, accuracy, and precision.
REFERENCES
To continue reading please sign in or create an account.
Don't Have An Account?