Continuous Flow Manufacturing for Monomer Synthesis
A New Approach to Monomer Manufacturing for Ophthalmic Applications
High purity monomers are critical raw materials for the manufacture of ophthalmic products. Chemical impurities, or even the variation of impurity profiles, can have negative consequences on both safety and the comfort for contact lens wearers. Further complicating the supply chain, production can be difficult to scale up from bench to full-scale reactor. Additionally, the products are often intrinsically unstable and therefore have a limited shelf life. This weakness complicates the effort for lean manufacturing, both at monomer and contact lens production facilities.
The drive for improved monomer quality is limited by cost constraints as users are switching to daily wear products instead of weekly- or monthly-based lenses; the demand for raw materials will therefore continue to increase. New chemical production approaches that improve manufacturing economics while simultaneously increasing purity are needed to help make contact lenses more affordable. The innovation must result in:
- Flexibility to produce a range of products in one manufacturing line
- Minimized chance of batch failures
- Optimized yields and purity
- Ensured consistency over the course of decades
Most production routes for monomer synthesis employ conventional batch methods. These processes consist of the introduction and mixing of starting materials in a single vessel followed by a series of operations such as heating/cooling, reaction, distillation, crystallization, separation, and/or drying. The equipment is cleaned after each product campaign as the same equipment must be used to support a wide range of chemicals. While these strategies are well-established, they do not always offer the flexibility, scalability, and reliability required to meet the unique needs of the contact lens industry. The limitations of batch manufacturing due to improper mixing and the longer reaction times for heating and cooling can lead to poor outcomes, or even batch failure.
Continuous Flow Manufacturing provides a practical and robust solution to producing high purity monomers for ophthalmic applications. We have extensive experience with this technique both at the small benchtop level and for global production of critical raw materials with an unprecedented degree of quality.
Components of a Continuous Flow Reactor
Continuous flow manufacturing (CFM) takes advantage of miniaturization and reactor geometry to overcome limitations faced in certain batch processes. In its simplest form, CFM is performed using a miniature reactor set-up in a manner which allows intimate mixing and excellent temperature control, avoiding the need for long heat-up or cool downs. Further, the tiny reactor volume (typically a few ml) leads to short reaction time (often, seconds) and minimal side reactions. Besides offering a viable cost effective alternative to batch manufacturing, CFM also offers excellent risk mitigation through precise process control and virtually eliminates risk of large batch failures.
CFM reactors are based on a system of long, narrow tubes that create a favorable ratio of volume to surface area. Efficient mixing in this geometry is usually achieved by a variety of means including narrow channels and static mixing. The narrow tubes that comprise the reactor are usually surrounded by a heat exchange fluid that circulates around each “reactor” to precisely control temperature.
Pumps, feed mixing devices and collection/work-up devices complete the reaction set-up. Figures 1 and 2 illustrate this design for simple reactors employed in typical organic/polymer reactions.

Figures 1 & 2.Components of a Continuous Flow Reactor
CFM reactors can be readily customized for small-scale (up to few kg per day) production through proper choice of material of construction and heating/cooling devices. Sigma-Aldrich has specifically designed and engineered equipment up to kilo-scale synthesis with a wide range of capabilities (Figures 3 and 4), including manufacturing processes designed specifically for the needs of the contact lens industry.

Figures 3 & 4.CFM reactors
Examples of Monomer Synthesis by Continuous Flow
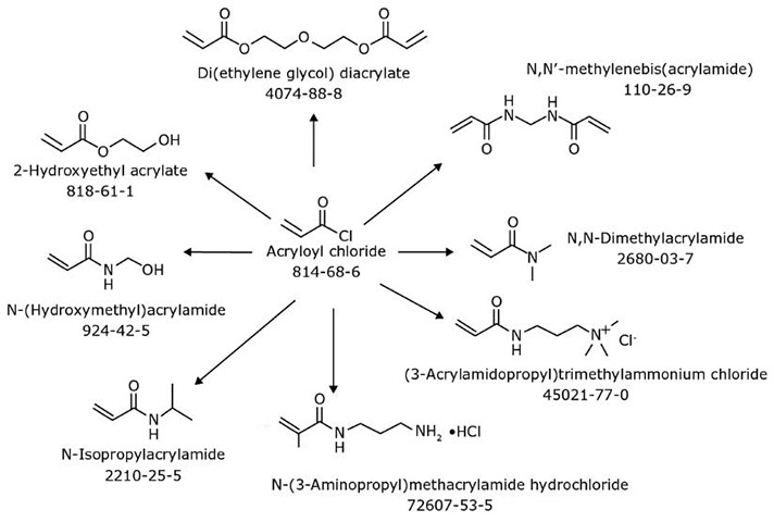
Acryloyl chloride is an important building block for many directly derived acrylate polymers employed for ophthalmic and other applications. As shown in Figure 5, it is also a starting point for intermediate acrylate monomers that are ultimately converted to polymers used in contact lens manufacturing. Each of these materials can be efficiently produced using CFM. While we have historically offered these monomers in small quantities, the use of CFM now enables their supply in a manner that meets the scale, purity, and bulk pricing needs of industrial customers.

Typical Reactions Performed by CFM
- Polymer Chemistry
– Monomers for Biomedical Applications
– Reagents for Polymer Synthesis (e.g. RAFT reagents) - Pharmaceutical and Organic Chemistry
– Pharmaceutical Intermediates (non-GMP)
– Reagents and catalysts (e.g. chiral catalysts, fluorinating reagents) - Materials Science
– Nanoparticle Synthesis - Specialized Reactions
– Reactions involving hazardous species (e.g. azides, diazoacetates, cyanides)
– Stenches
Characteristics of Reactions Suited for CFM
While CFM has many benefits, not every chemical reaction is ideally suited to realize these improvements. Characteristics of reactions that benefit from CFM include:
- Reactions requiring high temp or cryogenic conditions that limit scale in batch processes
- High volume products that require multiple plant runs
- Reactions involving sensitive/unstable species
- Reactions that involve hazardous
Our Continuous Flow Manufacturing Capabilities
- Materials of Construction: Hastelloy C-276, 316 Stainless Steel, Fluoropolymer (e.g. PFA)
- Temperature range: -80 to +175 °C, extendable to +300 °C
- Pressure range: 0 to 125 psi or 0 to 8 bars, extendable to 16 bars
- Residence time: 6 seconds to 10 minutes, longer times possible in special situations
- Throughput: Grams per day to 150 kg per day
- Upstream and Downstream batch processing access: up to 4000 gallon batch reactors
- Remote and local digitally controlled systems
For manufacturing needs that fall outside our typical capabilities, we can work closely with you to create customized CFM equipment that meets your needs. Our unique capabilities in CFM design and engineering can significantly accelerate project timelines, minimize up front capital investments, and result in excellent returns on invested capital.
About Us
We offer a unique combination of breadth and depth of manufacturing expertise. Our dedication to supply chain and quality allows us to deliver solutions to meet your raw material sourcing and development needs. Our CFM group in the United States is backed by excellence in Service, Quality and Innovation. Contact us for more information on how our custom capabilities can exceed your expectations.
Materials
To continue reading please sign in or create an account.
Don't Have An Account?