Enzymes for Alternative Energy Research
We are committed to help unlock the today’s challenge of releasing the energy of glucose that nature has cleverly locked into lignocellulosic biomass. To the untrained eye, starch and cellulose structures appear almost identical. Yet the barriers between cellulosic biomass hydrolysis and ethanol production have proven to be orders of magnitude more challenging than with starch-like biomass.
Although many of the biochemical aspects of these challenges are well understood, they remain an enigma of nature. The two main, and closely related hinderences to the enzymatic hydrolysis of cellulosic polymers are; How do we physically dismantle biomass on a molecular level to yield cellulosic polymers available to hydrolysis by cellulase and other glycolytic enzymes? How do we penetrate the barrier posed by the closely integrated network of liginins surrounding cellulose microfibrils?

Cellulases and Related Enzymatic Activities
Cellulase
EC# 3.2.1.4
Synonyms: 1,4-β-D-glucan 4-glucanohydrolase
Cellulase catalyzes the endohydrolysis of 1,4-β-D-glucosidic linkages in cellulose, lichenin and cereal β-D-glucans
Many commercial cellulase preparations contain various classes of cellulases and related activities.

Cellulase Activities
- The endo-1,4-β-D-glucanases (EGs) cleave cellulose in it's internal non-terminal regions, yielding oligosaccharides
- The two forms of cellobiohydrolases (CBH) are considered exo-1,4-β-D-glucanases, releasing cellobiose disaccharides from the cellulose chain reducing end (CBHI), and non-reducing end (CBHII)
- β-Glucosidase is an exo-hydrolase that yields glucose monosaccharides from soluble oligosaccharaides such as cellobiose
- Other activities that can be found in cellulase preparations include xylanase, hemicellulase, and laminarinase

Cerial β-Glucan, Polymer of β-(1,4) glycopyranosyl units occring as predomiantly cellotriose and cellotetraose separated by single β-(1,3)-Dglycopyranosyl units. Cross-linking can occur within the consecutive cellotriose regions.
from Aspergillus sp.
Product Number C2605 (Carezyme® 1000 L)
from Aspergillus niger
Product Number C1184 (powder, min. 0.3 un/mg)
from Trichoderma reesei
Product Number C8546 (powder, min. 1.0 un/mg)
Product Number C2730 (Celluclast® 1.5 L)
from Trichoderma viride
Product Number C0615 (Yakult Onozuka RS)
Product Number C1794 (cell culture tested, powder, min. 3.0-10 un/mg)
Cellobiohydrolase I
from Hypocrea jecorina
Product Number E6412 (recombinant expressed in corn)
Driselase
from Basidiomycetes sp.
Product Number D9515 (Crude powder containing laminarinase, xylanase and cellulase)
Endoglucanase
from Acidothermus cellulolyticus
Product Number E2164 (recombinant, expressed in corn)
Laminarinase
EC# 3.2.1.6
Synonyms: endo-1,3(4)-β-glucanase
Laminarinase catalyzes the endohydrolysis of 1,3- or 1,4-linkages in β-D-glucans when the glucose residue whose reducing group is involved in the linkage to be hydrolysed is itself substituted at C-3

Xylan Hemicellulose, Polymer of β-(1,4)-D-xylopyranosyl units
Hemicelluloses are a group of plant-derived heteropolysaccharides associated with cellulose and lignin. The most common hemicelluloses are: xylan, glucuronoxylan, arabinoxylan, glucomannan and xyloglucan. In angiosperms, the principal hemicellulose component, xylan, is a polymer of β(1-4)D-xylopyranose. In arabinoxylan, branching occurs at the C2 & C3 postions with α-L-arabinofunaose. Glucuronoxylan, also found in angiosperms, has the xylan backbone with 4-0 methylglucuronic acid branching. In addition, arabinose branching as well as acetylation may be present. Gymnosperms contain glucomannans comprised primarily of D-mannosyl and D-glucosyl residues.
Hemicellulase
A mixture of glycolytic enzymes containing xylanase, mananase and other activities
from Aspergillus niger
Product Number H2125
Xylanase
EC# 3.2.1.8
Synonyms: endo-1,4-β-xylanase
Xylanase catalyzes the endohydrolysis of 1,4-β-D-xylosidic linkages in xylans yielding various 1,4-β-D-xylooligosaccharides
from Thermomyces lanuginosus
Product Number X2753 (Novozymes Pentopan® Mono BG)
from Trichoderma virde
Product Number X3876 (Lyophilized, 100-300 un/mg)
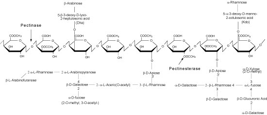
Pectinase, Pectolyase, and Pectinesterase
Pectins are complex branched heteropolysaccharides primarily containing an α-(1-4) polygalacturonic acid backbone which can be randomly acetylated and methylated. Three different pectins have been isolated from plant cell walls.
- Homogalacturonans are composed of the simple α-(1-4) polygalacturonic acid backbone.
- Substituted homogalacturonans are modifications of this backbone with β-D-xylose branching at C3, or apiofuranose substitutions in the backbone with β-D-Apiosyl-(1,3')-β-D-Apiose branching.
- Rhamnogalacturonan I contains alternating α-(1-4) galacturonosyl and α-(1-2) rhamnosyl residues, with primarily oligo α-(1-3) arabinose and oligo β-(1-4) galactose branching.
- Rhamnogalacturonan II is composed of the simple α-(1-4) polygalacturonic acid backbone with complex branching with composed of up to 11 different monosaccharide types.

Homogalacturonan, Poly-α-(1,4)-Galacturonic acid backbone with random partial methylation and acetylation

Rhamnogalacturonan I, Alternating α-(1,2)-L-rhamnosyl-α-(1,4)-Dgalacturonosyl backbone with two types of branching composed of a ribfuranose or galactose oligomers

Rhamnogalacturonan II, Poly-α-(1,4)-D-Galacturonic Acid backbone with random partial methylation, acetylation and four types of branching
Pectinase
EC# 3.2.1.15
Synonyms: polygalacturonase
Pectinase catalyzes the random hydrolysis of 1,4-α-D-galactosiduronic linkages in pectin and other galacturonans.
from Aspergillus aculeatus
Product Number P2611 (Novozymes Pectinex® Ultra SPL)
from Aspergillus niger
Product Number P4716 (aqueous glycerol solution, min. 5 un/mg protein)
from Rhizopus sp.
Product Number P2401 (Crude Powder 400-800 un/g)
Pectolyase
EC# 3.2.1.15 & 4.2.2.10
Reported to contain two types of pectinase, endopolygalacturonase (EC3.2.1.15), endo-pectin lyase (EC4.2.2.10) and a maceration stimulating factor.
Pectolyase catalyzes the eliminative cleavage of (1-4)-α-D-galacturonan methyl ester to give oligosaccharides with 4-deoxy-6-O-methyl- α-D-galact-4-enuronosyl groups at their non-reducing ends. Pectinase catalyzes the random hydrolysis of 1,4-α-D-galactosiduronic linkages in pectin and other galacturonans.
from Aspergillus japonicus
Product Number P3026 (lyophilized, min. 0.3 un/mg)
Product Number P5936 (plant cell culture tested)
Pectinesterase
EC# 3.1.1.11
Synonyms: pectin methylesterase
Pectinesterase catalyzes the hydrolysis of the methyl esters of pectin to yield pectate and methanol.
from orange peel
Product Number P5400 (lyophilized, 350-700 un/mg)
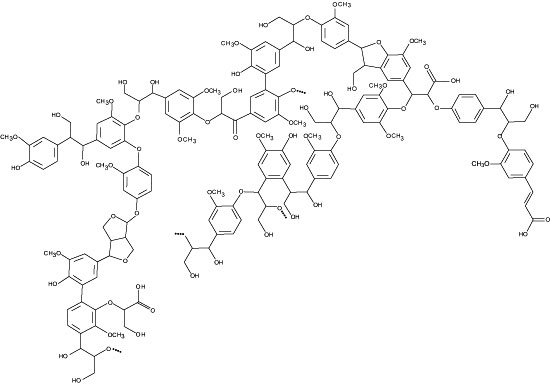
Lignin Related Enzymes
To some, lignin appears to be a foreign substance resembling a randomly modified polystyrene polymer, not resembling any of the more familiar biopolymers composed of carbohydrates, amino acids or nucleotides. However, next to cellulose, it is the second most abundant biopolymer on earth comprising as much as 30% of the dry mass of wood. Unlike other biopolymers, enzymatic degradation is oxidative vs. hydrolytic and is limited to a select group of fungi and bacteria. Lignins appear to be heterogeneous and random with regards to degree of polymerization, branching, and monomer composition and sequence.

Three basic monomers of lignin

Lignin
Lignin Peroxidase
EC# 1.11.1.14
Synonyms: ligninase, LiP

Catalyzes the oxidative cleavage of carbon-carbon and ether bonds in lignin-related compounds
Product Number 42603 >0.1 units/mg
Laccase
Synonyms: Benzenediol:oxygen oxidoreductase
Enzyme Commission (EC) Number: 1.10.3.2
from Trametes versicolor
Product Number 38429 powder, light brown, ≥0.5 units/mg
from garicus bisporus
Product Number 40452 powder, deep brown, ≥4 units/mg
from Rhus vernificera
Product Number L2157 crude acetone powder, ≥50 units/mg solid
Manganese peroxidase
EC# 1.11.1.13
Synonyms: Manganese-dependent lignin peroxidase, MnP
A hemoprotein. Involved in the oxidative degradation of lignin in white rot basidiomycetes.

Product Number 93014 >20 units/G
To continue reading please sign in or create an account.
Don't Have An Account?