form
powder
mp
136-141 °C
functional group
amine, hydroxyl
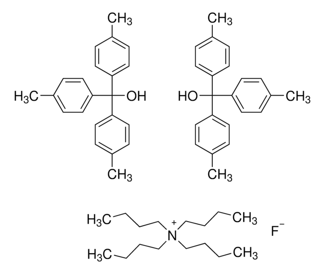
SMILES string
OC(C1=CC=C(C)C=C1)(C2=CC=C(C)C=C2)C3=CC=C(C)C=C3.OC(C4=CC=C(C)C=C4)(C5=CC=C(C)C=C5)C6=CC=C(C)C=C6.CCCC[N+](CCCC)(CCCC)CCCC.[F-]
InChI
1S/2C22H22O.C16H36N.FH/c2*1-16-4-10-19(11-5-16)22(23,20-12-6-17(2)7-13-20)21-14-8-18(3)9-15-21;1-5-9-13-17(14-10-6-2,15-11-7-3)16-12-8-4;/h2*4-15,23H,1-3H3;5-16H2,1-4H3;1H/q;;+1;/p-1
InChI key
BWOIZLRULLMREE-UHFFFAOYSA-M
Application
Nucleophilic fluorinating reagent is a more convenient crystalline solid for handling and storage compared to tetrabutylammonium fluoride hydrate (Aldrich 241512). As reported by Engle and Gouverneur, these solids display comparable reactivity on similar substrates.
signalword
Warning
hcodes
Hazard Classifications
Eye Irrit. 2 - Skin Irrit. 2 - STOT SE 3
target_organs
Respiratory system
存储类别
11 - Combustible Solids
wgk
WGK 3
flash_point_f
Not applicable
flash_point_c
Not applicable
法规信息
新产品
此项目有
全球贸易项目编号
| 货号 | GTIN |
|---|---|
| 809578-1G | 04061826655610 |
