跳转至内容
Merck
CN

914304

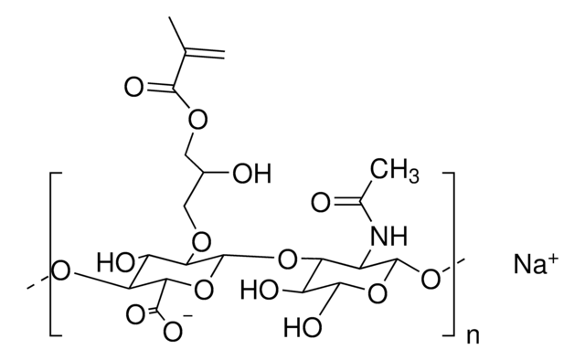
Hyaluronic acid methacrylate

average degree of substitution 35%, average Mw 100,000-150,000 Da

别名:

Functioanlized hyaluronic, HA methacrylamide, HAMA, Hyaluronic acid MA, Hyaluronic acid (HA) & derivatives

登录 查看组织和合同定价。

选择尺寸

变更视图

关于此项目

线性分子式:
(NaC20H28NO15)n
NACRES:
NA.23
UNSPSC Code:
12352106
Form:
(powder or chunk(s) or fibers)
技术服务
需要帮助?我们经验丰富的科学家团队随时乐意为您服务。
让我们为您提供帮助


description

NMR: Conforms to structure

Quality Level

form

(powder or chunk(s) or fibers)

mol wt

average Mw 100,000-150,000 Da

color

white to off-white

storage temp.

2-8°C

Application

Hyaluronic acid (HA) is a linear polysaccharide of alternating D-glucuronic acid and N-acetyl-D-glucosamine found primarily in connective tissues. HA based hydrogels are widely used in tissue engineering, 3D bioprinting, and drug deliery applications. The methacrylate functionalized hyaluronic acid is photo-crosslinkable, and can be used to generate crosslinked hydrogels.


Still not finding the right product?

Explore all of our products under


存储类别

11 - Combustible Solids

flash_point_f

Not applicable

flash_point_c

Not applicable



历史批次信息供参考:

分析证书(COA)

Lot/Batch Number

没有发现合适的版本?

如果您需要特殊版本,可通过批号或批次号查找具体证书。

已有该产品?

在文件库中查找您最近购买产品的文档。

访问文档库


商品

Engineered ECMs enhance immune therapy in cancer treatment by supporting cells and tissues and modulating immune response. They improve immune cell maturation, expansion, and regulation through biomaterial manipulation, acting as frameworks or carriers for enhanced tumor immunotherapy.


Cindy Chung et al.
Tissue engineering. Part A, 15(2), 243-254 (2009-02-06)
Mesenchymal stem cells (MSCs) are multipotent progenitor cells whose plasticity and self-renewal capacity have generated significant interest for applications in tissue engineering. The objective of this study was to investigate MSC chondrogenesis in photo-cross-linked hyaluronic acid (HA) hydrogels. Because HA
Judy Yeh et al.
Biomaterials, 27(31), 5391-5398 (2006-07-11)
Encapsulation of mammalian cells within hydrogels has great utility for a variety of applications ranging from tissue engineering to cell-based assays. In this work, we present a technique to encapsulate live cells in three-dimensional (3D) microscale hydrogels (microgels) of controlled
Aleksander Skardal et al.
Tissue engineering. Part A, 16(8), 2675-2685 (2010-04-15)
Bioprinting by the codeposition of cells and biomaterials is constrained by the availability of printable materials. Herein we describe a novel macromonomer, a new two-step photocrosslinking strategy, and the use of a simple rapid prototyping system to print a proof-of-concept



全球贸易项目编号

货号GTIN
914304-500MG04061842044924