跳转至内容
Merck
CN

936529

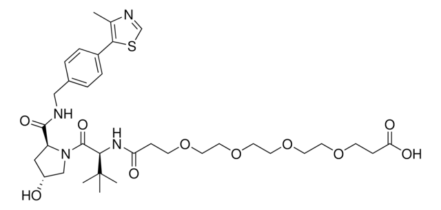
(S,R,S)-AHPC-CO-PEG4-C2-acid

≥95%

别名:

(S)-18-[(2S,4R)-4-Hydroxy-2-[[4-(4-methylthiazol-5-yl)benzyl]carbamoyl]pyrrolidine-1-carbonyl]-19,19-dimethyl-16-oxo-4,7,10,13-tetraoxa-17-azaicosanoic acid, (S)-18-[[(2S,4R)-4-Hydroxy-2-[[4-(4-methylthiazol-5-yl)benzyl]carbamoyl]pyrrolidin-1-yl]carbonyl]-19,19-dimethyl-16-oxo-4,7,10,13-tetraoxa-17-azaicosanoic acid, L-Prolinamide, N-(15-carboxy-1-oxo-4,7,10,13-tetraoxapentadec-1-yl)-3-methyl-L-valyl-4-hydroxy-N-[[4-(4-methyl-5-thiazolyl)phenyl]methyl]-, (4R)-

登录 查看组织和合同定价。

选择尺寸

变更视图

关于此项目

经验公式(希尔记法):
C34H50N4O10S
化学文摘社编号:
分子量:
706.85
UNSPSC Code:
12352106
NACRES:
NA.22
MDL number:
技术服务
需要帮助?我们经验丰富的科学家团队随时乐意为您服务。
让我们为您提供帮助


ligand

VH032

Quality Level

assay

≥95%

form

powder or crystals

color

White to Beige

storage temp.

2-8°C

SMILES string

C([C@@H](NC(CCOCCOCCOCCOCCC(O)=O)=O)[C@](C)(C)C)(=O)N1[C@H](C(NCC2=CC=C(C=C2)C3=C(C)N=CS3)=O)C[C@@H](O)C1

InChI

1S/C34H50N4O10S/c1-23-30(49-22-36-23)25-7-5-24(6-8-25)20-35-32(43)27-19-26(39)21-38(27)33(44)31(34(2,3)4)37-28(40)9-11-45-13-15-47-17-18-48-16-14-46-12-10-29(41)42/h5-8,22,26-27,31,39H,9-21H2,1-4H3,(H,35,43)(H,37,40)(H,41,42)/t26-,27+,31-/m1/s1

InChI key

WCMFOLDVYYDUGD-FMVCKAMOSA-N

Application

(S,R,S)-AHPC-CO-PEG4-C2-acid is a functionalized von Hippel-Lindau (VHL) ligand. It contains a terminal carboxyl group for conjugation with amine linkers. A basic building block for development of a protein degrader library.

Technology Spotlight:

Degrader Building Blocks for Targeted Protein Degradation
Protein Degrader Building Blocks

Legal Information

PROTAC is a registered trademark of Arvinas Operations, Inc., and is used under license.


存储类别

11 - Combustible Solids

wgk

WGK 3

flash_point_f

Not applicable

flash_point_c

Not applicable

法规信息

新产品

此项目有



历史批次信息供参考:

分析证书(COA)

Lot/Batch Number

It looks like we've run into a problem, but you can still download Certificates of Analysis from our 文件 section.

如需帮助,请联系 客户支持

已有该产品?

在文件库中查找您最近购买产品的文档。

访问文档库



全球贸易项目编号

货号GTIN
936529-50MG04065270787163