登录 查看组织和合同定价。
选择尺寸
变更视图
关于此项目
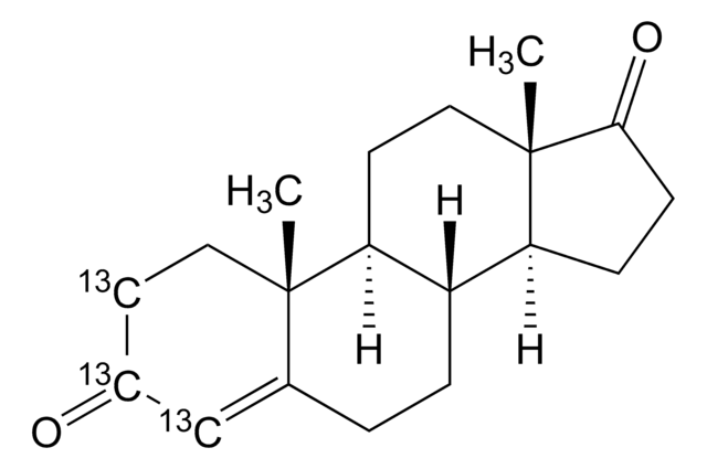
经验公式(希尔记法):
13C3C16H26O2
化学文摘社编号:
分子量:
289.39
NACRES:
NA.24
PubChem Substance ID:
UNSPSC Code:
41116107
EC Number:
200-835-2
MDL number:
grade
certified reference material
Quality Level
form
liquid
feature
SNAP-N-SPIKE®, SNAP-N-SHOOT®
packaging
ampule of 1 mL
manufacturer/tradename
Cerilliant®
concentration
100 μg/mL in acetonitrile
technique(s)
gas chromatography (GC): suitable, liquid chromatography (LC): suitable
application(s)
clinical testing
format
single component solution
storage temp.
−20°C
SMILES string
C[C@]12CC[C@H]3[C@@H](CCC4=[13CH][13C](=O)[13CH2]C[C@]34C)[C@@H]1CCC2=O
InChI
1S/C19H26O2/c1-18-9-7-13(20)11-12(18)3-4-14-15-5-6-17(21)19(15,2)10-8-16(14)18/h11,14-16H,3-10H2,1-2H3/t14-,15-,16-,18-,19-/m0/s1/i7+1,11+1,13+1
InChI key
AEMFNILZOJDQLW-FZIFMXJCSA-N
General description
雄烯二酮是一种激素,是生成睾酮、雌酮和雌二醇的生化途径的中间产物。这种稳定标记的内标适用于内分泌学、临床化学、新生儿筛查、运动试验和同位素稀释方法中的大量LC/MS和GC/MS应用。
Legal Information
CERILLIANT is a registered trademark of Merck KGaA, Darmstadt, Germany
Snap-N-Shoot is a registered trademark of Cerilliant Corporation
Snap-N-Spike is a registered trademark of Merck KGaA, Darmstadt, Germany
signalword
Danger
Hazard Classifications
Acute Tox. 4 Dermal - Acute Tox. 4 Inhalation - Acute Tox. 4 Oral - Eye Irrit. 2 - Flam. Liq. 2
存储类别
3 - Flammable liquids
wgk
WGK 2
flash_point_f
35.6 °F - closed cup
flash_point_c
2 °C - closed cup
法规信息
危险化学品
此项目有
商品
Accurate steroid analysis in blood serum using Supel™ Swift HLB DPX Tips; UTAK and NIST standards.

