Quality Level
grade
certified reference material, pharmaceutical secondary standard
API family
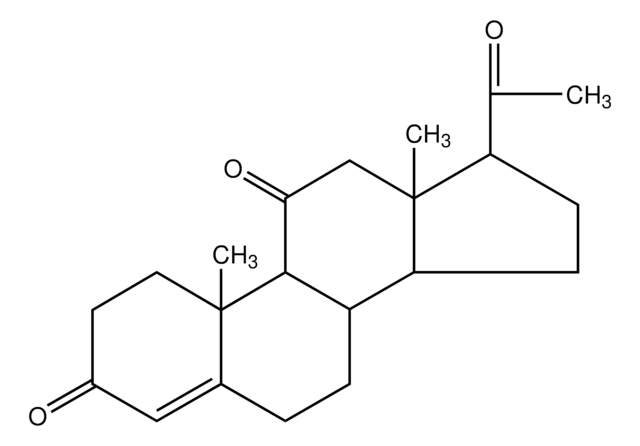
progesterone
form
solid
packaging
pkg of 100 mg
application(s)
pharmaceutical
storage temp.
2-8°C
SMILES string
CC(=O)C1CCC2C3CCC4=CC(=O)CCC4(C)C3C(=O)CC12C
InChI
1S/C21H28O3/c1-12(22)16-6-7-17-15-5-4-13-10-14(23)8-9-20(13,2)19(15)18(24)11-21(16,17)3/h10,15-17,19H,4-9,11H2,1-3H3/t15-,16+,17-,19+,20-,21+/m0/s1
InChI key
WKAVAGKRWFGIEA-DADBAOPHSA-N
General description
Pharmaceutical secondary standards for application in quality control provide pharma laboratories and manufacturers with a convenient and cost-effective alternative to the preparation of in-house working standards
Application
These Secondary Standards are qualified as Certified Reference Materials. These are suitable for use in several analytical applications including but not limited to pharma release testing, pharma method development for qualitative and quantitative analyses, food and beverage quality control testing, and other calibration requirements.
Analysis Note
These secondary standards offer multi-traceability to the USP and EP primary standards, where they are available.
Other Notes
This Certified Reference Material (CRM) is produced and certified in accordance with ISO 17034 and ISO/IEC 17025. All information regarding the use of this CRM can be found on the certificate of analysis.
To see an example of a Certificate of Analysis for this material enter LRAC4605 in the Documents slot below. This is an example certificate only and may not be the lot that you receive.
signalword
Danger
hcodes
pcodes
Hazard Classifications
Acute Tox. 3 Oral
存储类别
6.1C - Combustible acute toxic Cat.3 / toxic compounds or compounds which causing chronic effects
wgk
WGK 3
flash_point_f
Not applicable
flash_point_c
Not applicable
法规信息
新产品
此项目有
全球贸易项目编号
| 货号 | GTIN |
|---|---|
| PHR2563-100MG | 04061842552412 |
