Quality Level
grade
certified reference material, pharmaceutical secondary standard
agency
traceable to USP 1252003
description
Pharmaceutical Secondary Standard; Certified Reference Material
API family
estradiol
form
solid
packaging
pkg of 500 mg
application(s)
pharmaceutical small molecule
storage temp.
2-30°C
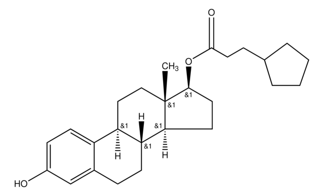
SMILES string
[H][C@]12CC[C@]3(C)[C@H](CC[C@@]3([H])[C@]1([H])CCc4cc(O)ccc24)OC(=O)CCC5CCCC5
InChI
1S/C26H36O3/c1-26-15-14-21-20-10-8-19(27)16-18(20)7-9-22(21)23(26)11-12-24(26)29-25(28)13-6-17-4-2-3-5-17/h8,10,16-17,21-24,27H,2-7,9,11-15H2,1H3/t21-,22-,23+,24+,26+/m1/s1
InChI key
UOACKFBJUYNSLK-XRKIENNPSA-N
General description
Application
Analysis Note
Other Notes
Still not finding the right product?
Explore all of our products under Estradiol Cypionate
signalword
Danger
Hazard Classifications
Acute Tox. 4 Dermal - Acute Tox. 4 Inhalation - Acute Tox. 4 Oral - Carc. 1B - Repr. 1B
存储类别
6.1C - Combustible acute toxic Cat.3 / toxic compounds or compounds which causing chronic effects
wgk
WGK 3
flash_point_f
Not applicable
flash_point_c
Not applicable
法规信息
此项目有
全球贸易项目编号
| 货号 | GTIN |
|---|---|
| PHR2839-500MG | 04065266466157 |

