跳转至内容
Merck
CN

47989

Fura 2-AM

BioReagent, suitable for fluorescence, ≥95.0% (HPLC)

别名:

Fura 2 五(乙酰氧基甲基)酯

登录 查看组织和合同定价。

选择尺寸

变更视图

关于此项目

经验公式(希尔记法):
C44H47N3O24
化学文摘社编号:
分子量:
1001.85
UNSPSC Code:
12171500
NACRES:
NA.32
PubChem Substance ID:
MDL number:
Beilstein/REAXYS Number:
8183748
技术服务
需要帮助?我们经验丰富的科学家团队随时乐意为您服务。
让我们为您提供帮助


product line

BioReagent

Quality Level

assay

≥95.0% (HPLC)

form

solid

solubility

DMSO: soluble

fluorescence

λex 355 nm; λem 495 nm in 0.1 M Tris pH 8.0, esterase; 10 mM Ca2+

suitability

suitable for fluorescence

storage temp.

−20°C

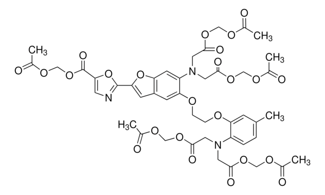
SMILES string

CC(=O)OCOC(=O)CN(CC(=O)OCOC(C)=O)c1ccc(C)cc1OCCOc2cc3cc(oc3cc2N(CC(=O)OCOC(C)=O)CC(=O)OCOC(C)=O)-c4ncc(o4)C(=O)OCOC(C)=O

InChI

1S/C44H47N3O24/c1-25-7-8-32(46(16-39(53)65-20-60-26(2)48)17-40(54)66-21-61-27(3)49)35(11-25)58-9-10-59-36-12-31-13-37(43-45-15-38(71-43)44(57)69-24-64-30(6)52)70-34(31)14-33(36)47(18-41(55)67-22-62-28(4)50)19-42(56)68-23-63-29(5)51/h7-8,11-15H,9-10,16-24H2,1-6H3

InChI key

VPSRLGDRGCKUTK-UHFFFAOYSA-N

General description

Fura 2- am(Fura 2),又称乙酰氧基甲酯,是一种钙特定比率荧光染料。为了响应钙离子,像Fura 2这样的比例度量染料改变了各自的激发或发射光谱。细胞内钙浓度由不同波长的荧光发射比或激发决定。Fura 2的发射峰在505nm,激发峰在340-380nm之间,是首选的钙指示剂。

Application

Fura 2-AM是一种常用的探针,用于测定完整活细胞中细胞质游离钙的动态变化。

Features and Benefits

使用Fura 2的酯形式作为Fura 2-AM的主要好处有:

  • 可渗透细胞。
  • 容易载入细胞中。
与单波长染料相比,使用 Fura 2-AM 的另一个优点是,比率信号与以下因素无关:
  • 染料浓度。
  • 照明强度、
  • 光程长度。

Other Notes

Fura-2的膜渗透性衍生物。用于将螯合剂渗透到细胞中。在细胞中发生酶促水解,产生Fura-2并保留在细胞内


Still not finding the right product?

Explore all of our products under Fura 2-AM


存储类别

11 - Combustible Solids

wgk

WGK 3

flash_point_f

Not applicable

flash_point_c

Not applicable



历史批次信息供参考:

分析证书(COA)

Lot/Batch Number

没有发现合适的版本?

如果您需要特殊版本,可通过批号或批次号查找具体证书。

已有该产品?

在文件库中查找您最近购买产品的文档。

访问文档库


商品

荧光寿命测量与基于强度的测量相比是有优势的。其应用包括荧光寿命分析,感测和FLI。

一氧化氮 (NO) 是神经元、内皮细胞和免疫系统中的信号转运分子。

Nitric oxide (NO) as a signal transporter in neurons, endothelial cells and in the immune system.

查看所有文章

M Poenie et al.
Nature, 315(6015), 147-149 (1985-05-09)
Although the regulation of events in the cell division cycle by calcium or other cations has been the subject of much interest and speculation, experimental studies have been hampered by the difficulty of measuring submicromolar intracellular free calcium concentrations ([Ca2+]i)
The use of microinjection and video microscopy for the study of calmodulin and calcium in living cells.
M Shelanski et al.
Methods in enzymology, 139, 824-834 (1987-01-01)
W Almers et al.
FEBS letters, 192(1), 13-18 (1985-11-11)
The Ca concentration ([Ca2+]i) in single rat peritoneal mast cells was measured by means of the new fluorescent Ca-indicator dye fura-2. Dye-loaded cells were made to degranulate with either antigen or compound 48/80. In cells loaded with extracellularly applied, membrane-permeant



全球贸易项目编号

货号GTIN
447609-1G04061838111265
47989-1MG-F04061832373423