跳转至内容
Merck
CN

61367

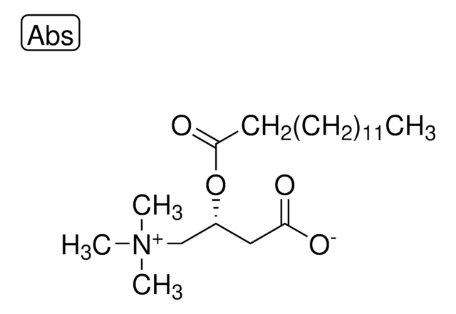
肉豆蔻酰基-L-肉碱

≥97.0% (HPLC)

别名:

(2R)-3-羧基-N,N,N-三甲基-2 -[[(1-氧代十四烷基)氧基] -1-丙烷 内盐, L-肉碱十四烷酸酯, C14肉碱, 十四烷基-L-肉碱

登录 查看组织和合同定价。

选择尺寸

变更视图

关于此项目

经验公式(希尔记法):
C21H41NO4
化学文摘社编号:
分子量:
371.55
MDL number:
UNSPSC Code:
12352211
PubChem Substance ID:
NACRES:
NA.26
Beilstein/REAXYS Number:
4149853
Assay:
≥97.0% (HPLC)
Quality level:
Storage condition:
under inert gas (Argon)
技术服务
需要帮助?我们经验丰富的科学家团队随时乐意为您服务。
让我们为您提供帮助


Quality Level

assay

≥97.0% (HPLC)

optical activity

[α]/D -18±2°, c = 1 in methanol

storage condition

under inert gas (Argon)

impurities

≤10% water

storage temp.

2-8°C

SMILES string

C[N+](C)(C)C[C@H](OC(CCCCCCCCCCCCC)=O)CC([O-])=O

InChI

1S/C21H41NO4/c1-5-6-7-8-9-10-11-12-13-14-15-16-21(25)26-19(17-20(23)24)18-22(2,3)4/h19H,5-18H2,1-4H3/t19-/m1/s1

InChI key

PSHXNVGSVNEJBD-LJQANCHMSA-N

Biochem/physiol Actions

肉豆蔻酰基-L-肉碱是一种参与到长链脂肪酸β-氧化的人类肉碱。


Still not finding the right product?

Explore all of our products under 肉豆蔻酰基-L-肉碱


存储类别

11 - Combustible Solids

flash_point_f

Not applicable

flash_point_c

Not applicable



历史批次信息供参考:

分析证书(COA)

Lot/Batch Number

没有发现合适的版本?

如果您需要特殊版本,可通过批号或批次号查找具体证书。

已有该产品?

在文件库中查找您最近购买产品的文档。

访问文档库



Yeong-Chin Jou et al.
Urology, 80(2), 260-266 (2012-04-21)
To analyze urinary uric acid stone matrix proteins (SMP) with mass spectrometry (MS) to evaluate the mechanisms of uric acid stone formation. SMP plays an important role in urinary stone formation. Several proteomic studies apply to calcium-containing stones have been
Stephanie E Reuter et al.
Annals of clinical biochemistry, 42(Pt 5), 387-393 (2005-09-20)
Patients with end-stage renal disease (ESRD) undergoing long-term haemodialysis exhibit low L-carnitine and elevated acylcarnitine concentrations. This study evaluated endogenous concentrations of an array of acylcarnitines (carbon chain length up to 18) in healthy individuals and ESRD patients receiving haemodialysis
Sriram Devanathan et al.
Biology of sex differences, 7, 25-25 (2016-05-18)
Cardiovascular disease is the leading cause of death among diabetic patients. Importantly, recent data highlight the apparent sexual dimorphism in the pathogenesis of cardiovascular disease in diabetics with respect to both frequency- and age-related risk factors. The disposition to cardiovascular



全球贸易项目编号

货号GTIN
61367-50MG04061833238929
61367-10MG04061833238912