跳转至内容
Merck
CN

1335304

USP

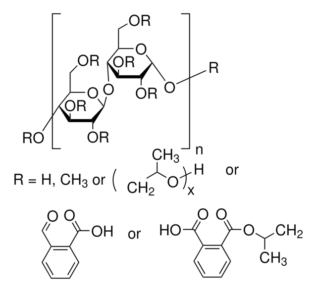
Hypromellose phthalate

United States Pharmacopeia (USP) Reference Standard

别名:

Hydroxypropyl methyl cellulose phthalate

登录 查看组织和合同定价。

选择尺寸

变更视图

关于此项目

化学文摘社编号:
UNSPSC Code:
41116107
NACRES:
NA.24
MDL number:
技术服务
需要帮助?我们经验丰富的科学家团队随时乐意为您服务。
让我们为您提供帮助


grade

pharmaceutical primary standard

API family

hypromellose

manufacturer/tradename

USP

mp

>145 °C (dec.) (lit.)

density

0.6 g/mL at 25 °C (lit.)

application(s)

pharmaceutical (small molecule)

format

neat

SMILES string

[n]1(c2c(nc1)c(nc3c2cccc3)N)CC(C)C

InChI

1S/C14H16N4/c1-9(2)7-18-8-16-12-13(18)10-5-3-4-6-11(10)17-14(12)15/h3-6,8-9H,7H2,1-2H3,(H2,15,17)

InChI key

DOUYETYNHWVLEO-UHFFFAOYSA-N

General description

This product is provided as delivered and specified by the issuing Pharmacopoeia. All information provided in support of this product, including SDS and any product information leaflets have been developed and issued under the Authority of the issuing Pharmacopoeia.For further information and support please go to the website of the issuing Pharmacopoeia.

Application

Hypromellose phthalate USP reference standard, intended for use in specified quality tests and assays as specified in the USP compendia.

Analysis Note

These products are for test and assay use only. They are not meant for administration to humans or animals and cannot be used to diagnose, treat, or cure diseases of any kind.  ​

Other Notes

Sales restrictions may apply.


Still not finding the right product?

Explore all of our products under


存储类别

11 - Combustible Solids

flash_point_f

Not applicable

flash_point_c

Not applicable



历史批次信息供参考:

分析证书(COA)

Lot/Batch Number

It looks like we've run into a problem, but you can still download Certificates of Analysis from our 文件 section.

如需帮助,请联系 客户支持

已有该产品?

在文件库中查找您最近购买产品的文档。

访问文档库



全球贸易项目编号

货号GTIN
343358-1KG04061826758137
343358-25G04061826758144
1335304-100MG04061833860243