四(二甲基氨基)乙烯(TDAE)
在2001年,佛罗里达大学的William Dolbier,Jr.教授报告了一种亲核三氟甲基化的方法,该方法基于在强力双电子还原剂四(二甲基氨基)乙烯(TDAE)存在下使用CF3I生成三氟甲基阴离子。(方案1)。

方案1
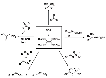
在随后的几年中,Dolbier小组开发了多种以该试剂体系为特征的反应,包括醛和酮、1a环硫酸盐、2二硫化物和二硒化物、3和亚胺1b的三氟甲基化反应(方案2)。在许多情况下,TDAE/CF3I法提供的结果可作为其他亲核三氟甲基化试剂的补充。最近,Dolbier已将他的系统扩展用于全氟烷基化,4并能够获得与CF3I类似的结果;然而,当使用全氟丁基体系时,产率会趋于明显的下降。

方案2
TDAE具有与金属锌相当的还原能力,因此也在有机合成中被用作还原剂。最近,Vanelle及同事已利用这种还原性从醛和2-(二溴甲基)喹喔啉获得环氧化物(方案3),5以及从醛和2-(三氯甲基)取代的氮杂杂环获得α-氯酮(方案4)。6 大阪关西大学的Nishiyama小组也使用TDAE从1,2-双(溴甲基)芳烃和烯烃获得1,2,3,4-四氢萘,7以及通过α-溴酮或酯的还原性偶联获得1,4-二酮或二酯(方案5)。8

方案3

方案 4

方案 5
产品列表
Loading
参考文献
1.
Aït-Mohand S, Takechi N, Médebielle M, Dolbier WR. 2001. Nucleophilic Trifluoromethylation Using Trifluoromethyl Iodide. A New and Simple Alternative for the Trifluoromethylation of Aldehydes and Ketones. Org. Lett.. 3(26):4271-4273. https://doi.org/10.1021/ol016933x
2.
Takechi N, Ait-Mohand S, Medebielle M, Dolbier WR. 2002. Novel Nucleophilic Trifluoromethylation of Vicinal Diol Cyclic Sulfates. Org. Lett.. 4(26):4671-4672. https://doi.org/10.1021/ol0270374
3.
Pooput C, Medebielle M, Dolbier WR. 2004. A New and Efficient Method for the Synthesis of Trifluoromethylthio- and Selenoethers. Org. Lett.. 6(2):301-303. https://doi.org/10.1021/ol036303q
4.
Pooput C, Dolbier, WR, Médebielle M. 2006. Nucleophilic Perfluoroalkylation of Aldehydes, Ketones, Imines, Disulfides, and Diselenides. J. Org. Chem.. 71(9):3564-3568. https://doi.org/10.1021/jo060250j
5.
Montana M, Terme T, Vanelle P. 2005. Original synthesis of oxiranes via TDAE methodology: reaction of 2,2-dibromomethylquinoxaline with aromatic aldehydes. Tetrahedron Letters. 46(48):8373-8376. https://doi.org/10.1016/j.tetlet.2005.09.152
6.
Montana M, Terme T, Vanelle P. 2006. Original synthesis of ?-chloroketones in azaheterocyclic series using TDAE approach. Tetrahedron Letters. 47(37):6573-6576. https://doi.org/10.1016/j.tetlet.2006.07.030
7.
Nishiyama Y, Kawabata H, Kobayashi A, Nishino T, Sonoda N. 2005. Reductive debromination of 1,2-bis(bromomethyl)arenes using tetrakis(dimethylamino)ethylene (TDAE). Tetrahedron Letters. 46(5):867-869. https://doi.org/10.1016/j.tetlet.2004.11.114
8.
Nishiyama Y, Kobayashi A. 2006. Synthesis of 1,4-diketones: reaction of ?-bromo ketones with tetrakis(dimethylamino)ethylene (TDAE). Tetrahedron Letters. 47(31):5565-5567. https://doi.org/10.1016/j.tetlet.2006.05.141
登录以继续。
如要继续阅读,请登录或创建帐户。
暂无帐户?