Ionic Liquids for Rechargeable Batteries
Introduction
Room temperature ionic liquids (RTILs) are molten salts with melting points well below 100 °C. Most RTILs are organic salts with a high degree of variability that can be controlled by molecular design. Ionic liquids (ILs) have many useful properties, including low vapor pressure, a broad liquid state temperature window, high chemical and thermal stability, wide electrochemical voltage window, non-flammability, high ionic conductivity, and good solubility in various organic or inorganic materials.1 The unique properties of ILs make them particularly promising candidates as (1) environmentally benign or “green” alternatives to organic solvents for chemical synthesis, catalysis, separation, and extraction, (2) versatile electrolytes for electrochemistry and photovoltaics, and (3) novel functional materials for lubrication, microfluidics, propellants, and sensors.1
In recent years, the potential use of ILs as novel electrolytes for various secondary, rechargeable batteries has attracted great interest. ILs have been used to accelerate the development of aluminum-based batteries,2–9 decrease the flammability of lithium-based batteries,10–13 and increase the cycling stability and Coulombic efficiency of dual-graphite batteries.14–16 Aluminum anodes are low-cost, have low-flammability, and possess unique three-electron redox properties. As a result, rechargeable aluminum batteries promise cost-savings and higher safety, which could lead in a new direction for energy storage technology.2 ILs are ideal electrolytes for developing Al batteries that avoid the problem of passivating aluminum hydroxide on Al surface in aqueous electrolytes. Several cathode materials including graphite2–6 and transition metal oxides7–9 have been studied for use in Al batteries in IL electrolytes. On the other hand, lithium-based secondary batteries that consist of graphite or pure lithium anodes and organic solvent electrolytes have the potential for high operating voltages, high energy density, and good cycling stability, but have the disadvantage of flammable electrolytes that can lead to safety hazards.10–13 ILs have also been studied to improve the safety of lithium-ion batteries over the years. Dual-graphite batteries that employ low-cost graphite for both the anode and cathode, and use non-flammable ionic liquid electrolytes could lead to environmental benefits, improved safety, and cost-savings.14–16
Here, we present a short review of ionic liquid electrolytes used in state-of-the-art rechargeable batteries including high performance and low-cost aluminum batteries, non-flammable Li-based batteries, and high-cycling and stable dual-graphite batteries. We also outline the key issues explored so as to identify the future direction of IL development. We further discuss how the versatility of ionic liquid electrolytes can boost the development of rechargeable batteries for energy storage.
Synthesis of Ionic Liquids
ILs are composed of bulky and asymmetrical cations, such as imidazolium, pyrrolidinium, pyridinium, piperidinium, ammonim, and phosphonium, and different inorganic or organic anions, including halides (chloride [Cl–], bromide [Br–], iodide [I–]), acetate [AcO–], tetrafluoroborate [BF4 –], hexafluorophosphate [PF6 –], tetrachloroaluminate [AlCl4 –], bis(trifluoromethanesulfonyl) imide [TFSI–], ethyl sulfate [EtSO4 –], dicyanamide [N(CN)2 –], and thiocyanate [SCN–].1 Figure 1 shows the molecular structure of cations and anions of several room temperature ionic liquids commonly used for rechargeable batteries.

Figure 1. Schematic illustration of the molecular structure of cations and anions from the room temperature ionic liquids commonly used for rechargeable batteries. A) Imidazolium cation, B) Pyrrolidinium cation, C) Piperidinium cation, D) Ammonium cation, E) Hexafluorophosphate anion, F) Dicyanamide anion, G) Tetrachloroaluminate anion, and H) Bis(trifluoromethane)sulfonamide anion.
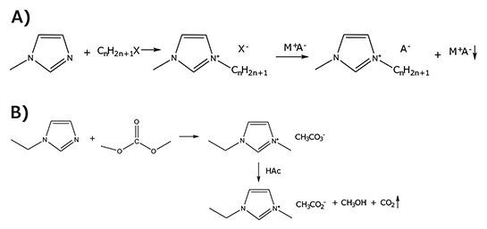
ILs, in most cases, can be prepared through synthetic processes using either one-step or two-step methods. For example, one can obtain imidazolium halide salt by simple alkylation of 1-methylimidazole (Cat. No. M50834) with an alkyl halide (halide anions (X–): Cl–, Br– or I–, etc.) (Figure 2). The resulting imidazolium halide salts can be directly used as an IL or to produce the imidazolium salt with a desired anion in the subsequent metathesis. First, the imidazolium halide salt is mixed with an M+A– metal salt (M+: Ag+, Na+ or K+, etc.; A–: BF4–, PF6–, TFSI–, etc.). Next, the halide anion is replaced by the desired A– anion to obtain the imidazolium A– salt. However, in some cases, high-purity ionic liquids are difficult to obtain through metal salts metathesis, since M+X– (as impurity) is soluble in the ILs. The presence of residual halide contaminations in the ILs can influence the physical properties.17
Alternatively, high-purity ILs can be obtained through a metal salt-free process.18 For example, 1-alkane-3-methylimidazolium methyl carbonate salts can be prepared by alkylation of 1-alkaneimidazole with carbonate at 210 °C in a PTFE-coated autoclave for over 2 hours. ILs can be obtained by further neutralizing the solutions with the acid, with by-products of insoluble methanol and gaseous CO2. The insoluble by-products are easily removed through vacuum and heating processes.

Figure 2. Synthesis of A) imidazolium-based salts by alkylation of 1-methylimidazole with an alkyl halide, and the obtained halide salts are used for metathesis with metal salts to produce the imidazolium salt with a desire anion. B) 1-Ethyl-3-methylimidazolium acetate (Cat. No. 689483) employing dimethylcarbonate as alkylating agent, and then by neutralizing the solution with acid. The insoluble by-products can be easily removed through vacuum and heating processes.
Aluminum-Based Batteries with Ionic Liquid Electrolyte
Studies2–9 have shown that imidazolium salts (such as [EMIm] Cl) or amide ligands (such as urea) can be used to form ionic liquid electrolytes or deep eutectic solvent (quasi ionic liquid) electrolytes for rechargeable aluminum batteries. Through mixing with AlCl3, these electrolytes contain redox active chloroaluminate anions (such as AlCl4 – and Al2Cl7–) and [AlCl2·(ligand)n]+ cations.
In the late 80s, Gifford et al.2 presented an aluminum/chlorine rechargeable cell that employed an Al anode and graphite cathode electrode with an AlCl3/1,2-dimethyl-3-propylimidazolium chloride electrolyte. The graphite cathode electrode played the role of the reversible intercalation electrode for chlorine. The cell possessed an average discharge voltage of 1.7 V and a maximum charge-storage capacity of 35 mAh g–1 relative to the mass of graphite. However, it was observed that almost 85% of capacity decayed after over 100 cycles due to the disintegration of the graphite electrode. In 2015, we unveiled an ultrafast rechargeable aluminum-ion battery with AlCl3/1-ethyl-3-methylimidazolium chloride (AlCl3/[EMIm]Cl) electrolyte.3 The battery exhibited a well-defined discharge voltage plateaus near 2 V, a specific capacity about 70 mAh g–1 and Coulombic efficiency of almost 98%. A novel three-dimensional graphiticfoam cathode was found that enabled fast anion diffusion and intercalation, allowing a charging time of 1 minute with high current densities of 4,000 mA g–1 (3,000 W kg–1). All these qualities allowed the device to withstand almost 7,500 cycles without any capacity decay (Figure 3). Afterwards, we published successive works using natural graphite flakes as the cathode material.5,6 The natural graphite flakes5 cathode showed superior electrochemical performance in AlCl3/[EMIm]Cl electrolyte. For example, the cell achieved a specific capacity of 110 mAh g–1 with a Coulombic efficiency of almost 98% at a current density of 99 mA g–1 (0.9 C) and clear discharge voltage plateaus (2.25–2.0 V and 1.9–1.5 V).

Figure 3. A) Schematic drawing of the Al/graphite cell during discharge, using the optimal composition of the AlCl3/[EMIm]Cl ionic liquid electrolyte. On the anode side, metallic Al and AlCl4– were transformed into Al2Cl7– during discharging, and the reverse reaction took place during charging. On the cathode side, predominantly AlCl4– was intercalated and deintercalated between graphite layers during charge and discharge reactions, respectively. B) Galvanostatic charge and discharge curves of an Al/graphitic-foam pouch cell at a current density of 4,000 mA g–1. C) Long-term stability test of an Al/ graphitic-foam pouch cell over 7,500 charging and discharging cycles at a current density of 4,000 mA g–1. Reproduced with permission from reference 3, copyright 2015 Nature Publishing Group.
We have also developed an Al-ion battery with high Coulombic efficiency (~99.7%) using aluminum as the anode, graphite as the cathode, and a low cost ionic liquid analog electrolyte made from a 1.3:1 molar ratio mixture of AlCl3 and urea.6 The battery displayed a discharge voltage plateaus around 1.9 and 1.5 V (average discharge: 1.73 V) and yielded a specific cathode capacity of ~73 mAh g–1 at a current density of 100 mA g–1 (~1.4 C). It is not difficult to achieve such a high Coulombic efficiency over a range of charge or discharge rates with stability over ~150–200 cycles. However, the challenge is that the ~10-fold higher viscosity and lower ionic conductivity of ureabased electrolytes (such as AlCl3/urea: 1.3 (in mole ratio) of ~1.23 mS cm–1 at 25 °C than those of AlCl3/EMImCl), decreases the C-rate capability of the urea based aluminum batteries.
In the Al anode/graphite cathode battery, the simplified Al/ graphite cell redox reactions during the charging and discharging process can be written as follows:3

Equations 1 and 2.Al/ graphite cell redox reactions during the charging and discharging
where n refers to the molar ratio of carbon atoms to the intercalated anions in the graphite. The balanced AlCl4– and Al2Cl7– concentrations in the electrolyte ensured an optimal charging capacity at the cathode, with abundant AlCl4– for charging or intercalating into graphite (as shown in Equation 1) and sufficient Al2Cl7– for charging or electrodepositing Al at the anode (as shown in Equation 2). For the urea based electrolyte case, AlCl4–, Al2Cl7– anions and [AlCl2·(urea)n]+ cations co-exist in the AlCl3/urea electrolyte. Aluminum deposition might occur through two routes involving the anions (Equation 2) and cations (Equation 3).6

Equation 3.AlCl3/urea electrolyte
Beside graphite, transition metal oxides7–9 have been suggested as candidate cathode materials for aluminum-ion batteries. The Archer group7 at Cornell University employed vanadium pentoxide (V2O5) nanowire as the cathode, Al as the anode, and AlCl3/[EMIm]Cl as the electrolyte. However, subsequent work revealed the V2O5 cathode material was electrochemically inactive in the AlCl3/[EMIm]Cl electrolyte and the stainless steel was acting as the active electrode in the current collector. Thus the mass of the active material was unknown.19 Despite the argument, the intercalation and deintercalation of Al3+ in VO2 cathode (AlCl3/1-butyl-3-methylimidazolium chloride electrolyte) and amorphous V2O5 cathode (AlCl3/dipropylsulfone/toluene) has been reported by several research groups.9 According to Brown et al.,8 spinel Mn2O4 was also verified to be a feasible cathode for the Al-ion battery in AlCl3/[EMIm]Cl electrolyte without any other experimental details. As for the transition metal oxide7–9 cathode, researchers have suggested that Al3+ accumulated on the cathode during the battery discharging. Then free Al3+ migrated into the cathode to form the Al intercalated compounds (as shown in Equation 4, using V2O5 cathode as an example9(b)).

Equation 4.Al3+ migrated into the cathode to form the Al intercalated compounds
Lithium-Based Batteries with Ionic Liquid Electrolytes
High thermal stability is expected in a RTIL Li-based battery. Lombardo’s group10 at Università di Roma reported that the addition of N-butyl-N-methylpyrrolidinium bis(trifluoromethanesulfonyl)imide (Pyr14TFSI) to the commercial carbonate-based electrolyte (1M LiPF6 in EC:DMC (LP30)) can reduce the self-extinguished time of the electrolyte mixture to a great extent when exposed to a free flame in a full Li-ion cell (Figure 4). Sakaebe et al.11 pointed out that N-methyl-Npropylpiperidinium bis(trifluoromethanesulfonyl)imide (PP13TFSI) is the most promising candidate for Li battery electrolyte. The Li/LiCoO2 cell in this electrolyte showed excellent performance, with stable capacity of LiCoO2 and good Coulombic efficiency (>97% at a rate of C/10) over cycling. The Li/LiCoO2 cell can be opened just after the final charge in air and no ignition was observed while fire contacted the cell.11
The cycling stability of Li-based batteries with various ionic liquid electrolytes was also investigated. According to Holzapfel et al.,12 when LiCoO2 positive electrodes were cycled in a 5%-vinylene-carbonate-added 1 M solution of LiPF6 in 1-Ethyl-3- methylimidazolium-bis(trifluoromethylsulfonyl)imide (EMI-TFSI, Cat. No. 11291) good charge capacity retention of more than 300 cycles was observed when Li4Ti5O12 was used as the negative electrode. However, the stability of neat EMI-based electrolyte against reduction seems insufficient in the lithium battery system (i.e., Li metal as negative electrode). Elia et al.13 showed an advanced long-life lithium-ion battery by employing a Pyr14TFSI-LiTFSI non-flammable ionic liquid electrolyte, a nanostructured tin-carbon nanocomposite anode, and a layered LiNi1/3Co1/3Mn1/3O2 cathode. The battery was subjected to prolonged cycles at 40 °C, revealing a stable capacity of about 140 mAh g–1 and retention above 99% after over 400 cycles.

Figure 4. Pictures of the flammability performances of LP30 at A) starting time, B) after 10 s, C) after 15 s, and D) after 20 s, LP30/ Py14TFSI 70/30 wt/wt at E) starting time, F) after 10 s, G) after 15 s, and H) after 20 s, and LP30/Py14TFSI 50/50 wt/wt at I) starting time, J) after 10 s, K) after 15 s, and L) after 20 s. Reproduced with permission from reference 10, copyright 2012 Elsevier B.V.
Dual-Graphite Batteries with Ionic Liquid Electrolyte
The first dual-graphite battery was suggested by Carlin et al.,14 using various RTILs, such as 1-ethyl-3-methylimidazolium tetrachloroaluminate (EMI+AlCl4 –, Cat. No. 724424). EMI+ intercalated into the graphite anode while AlCl4− intercalated into the graphite cathode during the charging process. The cell provided a discharge voltage of 3.15 V. However, the reversibility of the intercalation or the deintercalation behavior of this dualgraphite cell was relatively poor, due to the instability of EMI+ intercalant within graphite.14 In particular, electrolytes with a high stability vs. oxidation are required for dual-graphite batteries, due to the very high operation potentials of the cathode, which may surpass 5 V vs. Li/Li+.15 Winter’s group15 at the University of Münster demonstrated promising results with high electrochemical performance of a dual-graphite cell using ionic liquid electrolyte mixtures of Py14TFSI/LiTFSI and ethylene sulfite (ES) as an solid electrolyte interface (SEI)-forming additive. The cell exhibited a stable cycling performance after over 500 cycles with a discharge capacity of about 50 mAh g–1 at a cut-off charge voltage of 5.14 V vs. Li/Li+ (Figure 5). In addition, the Coulombic efficiency displayed an average value of 99.8%.
Fan et al.16 reported an ionic liquid dual-graphite cell with pure 1-butyl-1-methylpiperidinium bis(trifluoromethylsulfonyl)imide (PP14TFSI, Cat. No. 713074) as the electrolyte, affording a high discharge plateau initiating at 4.4 V, a well-defined capacity of 82 mAh g–1, an ultra-wide charge/discharge potential range of 1.0- 5.0 V and a superior stability of ~100% capacity retention for 600 cycles. Dual-graphite batteries with the ionic liquid electrolyte did not show any flammability and can afford high discharge voltages (3.0–5.0 V), which has attracted the attention of researchers. The ionic liquid electrolyte not only acts as a charge carrier but also as a source for intercalation guests for the graphite anode and graphite cathode. The proposed electrochemical intercalation processes can be written as follows:

Equations 5 and 6.Electrochemical intercalation processes
where the cation could be EMI+, Li+ or Na+ and anion could be AlCl4–, BF4–, TFSI– or PF6–.14–16

Figure 5. A)Schematic illustration of a dual-graphite cell with an effective SEI layer at the graphite anode during the charge process. The negative graphite electrode is protected from cointercalation reactions of pyrrolidinium cations by the SEI layer; the SEI still allows the transport and intercalation of lithium ions. B) Cell voltage vs. time profile (black, dotted curve) and anode and cathode potential vs. time profiles (red curves) of the CG/KS6L dual-graphite cell during representative cycles of the constant current charge/discharge cycling process. The specific current for cycles 1–3 is 10 mA g–1 and 50 mA g–1 for the following cycles. Cell voltage range: 3.0 V and 5.1 V. C) Discharge capacity curve and Coulombic efficiency curve of the constant current charge/discharge cycling performance of the CG/KS6L dual-graphite cell. Cell voltage range: 3.0 V and 5.1 V; specific current for charge and discharge: 10 mA g–1 (for cycles 1–3) and 500 mA g–1 (for cycles 4–500). Reproduced with permission from reference 15, copyright 2014 The Royal Society of Chemistry.
Perspective
By using an AlCl3/EMImCl ionic liquid electrolyte, aluminum batteries with a graphite cathode display excellent cycling stability and C-rate capability. In addition to AlCl3/EMImCl, inexpensive AlCl3/urea can be used as an electrolyte in aluminum batteries, which could greatly decrease their cost. However, the high viscosity of the urea-based electrolytes currently limits their C-rate capability and specific capacity in aluminum batteries.
Although EMIm-based IL electrolytes exhibit high conductivity as well as low viscosity among the ILs in lithium batteries, the insufficient cycling stability limits their utility using pure lithium as the negative electrode. Pyrrolidinium salts have also been mixed with the conventional alkylcarbonate-based electrolyte so as to improve the flame resistance of Li-based batteries. On the other hand, Li-based batteries using neat piperidiniumbased ionic liquid electrolytes do show low-flammability and good cycling stability using a pure Li anode. To compete with the commercial lithium-ion battery, long-term cycling stability (such as 80% capacity retention after 2000 cycles) will be the main hurdle for lithium batteries with ionic liquid electrolytes.
Noticeably, dual-graphite batteries with high conductivity EMImbased IL electrolytes displayed high self-discharge, leading to low Coulombic efficiency. Mixtures of pyrrolidinium and TFSI salts were used as electrolytes for dual-graphite batteries in order to increase the cycling stability as well as the Coulombic efficiency. However, low C-rate capability is still the main challenge for dual-graphite batteries with IL based electrolytes.
Ionic liquids show a broad electrochemical stability window of up to 5 V with no observed flammability even in direct contact with fire and relative high conductivity. This makes them promising electrolytes for high performance/low-cost aluminum batteries, non-flammable Li-based batteries, and for providing high cycling stability in dual-graphite batteries. Together these achievements suggest a bright commercial future for IL electrolytes in advanced batteries for energy storage.
Acknowledgement
M.-C. L. acknowledges support from the Taishan Scholar Project of Shandong Province of China (No.tsqn20161025).
Materials
References
如要继续阅读,请登录或创建帐户。
暂无帐户?