适用于高效稳定的染料敏化太阳能电池的有机染料
简介
在过去的十年中,染料敏化太阳能电池 (DSSC) 备受关注,因为此类非常规太阳能电池不仅性能出众,而且还具有低成本生产的潜力。1-4 最近,DSSC在AM 1.5 G辐照下实现了高达11%的太阳能电转换效率。5-7 在DSSC中,光敏剂是影响太阳能电池性能的最重要成分之一,因为敏化剂的选择决定了DSSC的光响应,并会引发光子吸收和后续电子转移过程的主要步骤。通常, 由Grätzel教授及其同事开发的钌多联吡啶配合物光敏剂(例如顺式-二硫氰基双(4,4'-二羧基-2,2'-联吡啶)钌 (II)(称为 N3(货号703206)或N719(货号703214)染料)已被用于高效 DSSC中。4,5
除了传统的钌配合物光敏剂外,在 DSSC 中也对有机染料形式的无金属类似物进行了研究。有机染料敏化剂的光伏性能在不断提高。8-14 有机染料作为敏化剂具有多种优势:
- 由于不含钌等贵金属,因此对资源有限的担忧较少,
- 由于分子内 π-π* 跃迁,因此具有较大吸收系数,
- 并且结构种类繁多,每种结构都相对容易修改。
然而,基于有机染料的 DSSC 性能仍然不及基于钌配合物的DSSC性能。与基于钌配合物的太阳能电池相比,基于有机染料的太阳能电池如果要提升性能,就必须对有机染料进行复杂的分子设计。为此,我们设计并合成了烷基官能化咔唑染料(MK染料),以改善太阳能电池的性能和长期稳定性。15-17 这里,我们报告了MK染料的详细分子设计以及基于它们的DSSC的光伏性能和长期稳定性。
DSSC 的结构和工作原理
图1显示了 DSSC的原理图及发电机理。首先,吸附在纳米晶体TiO2电极表面的光敏剂分子吸收入射光子通量,并从基态 (S) 激发到激发态 (S*)。一种类型的光激发导致电子从光敏剂的最高占据分子轨道 (HOMO) 转移到最低未占分子轨道 (LUMO)。随后将激发的电子注入到TiO2电极的导带中,使光敏剂分子氧化。注入的电子通过TiO2电极向透明导电氧化物 (TCO) 涂层电极扩散,并通过外部负载和布线,最终到达反电极。氧化光敏剂在电解液中被I-离子还原,使光敏剂的基态再生,I-离子被氧化成 I3-离子。I3-离子向反电极扩散,在反电极上还原为I-离子。总体而言,电力是在没有永久化学转化的情况下产生的。

图 1.说明发电机理的 DSSC原理图。
在 DSSC 中产生的光电流直接受光敏剂性能的影响。例如,光敏剂的HOMO和LUMO之间的能隙(对应于无机半导体材料的带隙Eg)决定了DSSC的光响应范围。为了收集大部分太阳能光谱,吸收波长范围必须极为广泛。由于 HOMO-LUMO 能隙较小,该范围将延伸到近红外区域,这反过来又将产生大量光电流,从而获得高效太阳能电池性能。此外,HOMO和LUMO的能级必须与碘氧化还原电位和TiO2电极的Ecb相匹配。对于电子注入,LUMO必须比 TiO2 Ecb的负值大得多(更高的能量);两个能级之间的能隙是电子注入的驱动力。HOMO必须比I-/I3-的氧化还原电位正值大得多(更低的能量),才能有效地接受电子。因此,必须策略性地设计光敏剂的分子结构,以使其性能最适合于高效DSSC的性能。。
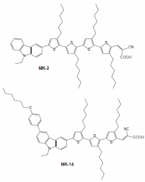
MK 染料的分子结构
两种MK染料(MK-2和MK-14)的分子结构详见图 2。 这些分子由一个供体部分(咔唑单元)和一个通过低聚噻吩部分的π-共轭结构连接的受体部分(氰基丙烯酸)组成。由于分子内 π-π* 跃迁,这种供体-受体结构在可见光区具有很强的吸收系数。在四氢呋喃-甲苯(20:80 vol %)溶液中,MK-2在480 nm16处观察到吸收峰值 (λmax),MK-14在483 nm17处观察到吸收峰值。MK-2和MK-14在λmax下的摩尔吸光系数ε分别为38,40016和36,200 M-1 cm-1,17。此外,这些有机染料有一个羧基作为锚定基团吸附在纳米TiO2电极上。

图 2.烷基官能化咔唑 (MK) 染料的分子结构。
此外,这种新型有机染料的一个重要特征是在低聚噻吩主链上存在 n-己基取代基。我们预计,长烷基链会减少分子间较强的 π-π* 堆积作用,降低电子注入产率,并在物理上抑制I3-离子远离TiO2表面,从而减少电子与I3-离子之间的电荷复合。因此,为了提高有机 DSSC 的光伏性能,需要对有机染料与 TiO2表面间的界面进行新型战略性分子设计。
基于 MK 染料的 DSSC 太阳能电池性能研究
由纳米晶体TiO2电极、MK-2和碘氧化还原(I-/I3-)电解质组成的DSSC的入射光子-电流转换效率(IPCE)曲线如图3所示。

图 3.基于 MK-2 的 DSSC 的入射光子-电流转换效率 (IPCE)曲线。
基于这种染料的DSSC可以将较宽波长范围(350-800 nm)内的光子转换成电流。在 400-650 nm 处观察到 IPCE 值高于 70%;在 498 nm 处达到最大值 80%。当不考虑TCO衬底反射和吸收损耗的降低作用时,该范围内的光电转换效率将超过90%,这表明该太阳能电池具有高效的性能。太阳能电池的太阳能-电能转换效率 η (%) 可通过以下公式估算:

其中I0为光子通量(AM 1.5 G辐照下约为100 mW cm-2),JSC为辐照下的短路电流密度,VOC为开路电压,FF为填充因子。优化太阳能电池后,在模拟AM 1.5 G辐照(100 mW cm-2,带孔径掩膜,不带防反射膜)下,基于MK-2和MK-14的DSSC分别获得了高η值:8.3%16(JSC = 15.2 mA cm-2,VOC = 0.73 V,和FF = 0.75,如 图4所示) 和8.1%17(JSC = 16.0 mA cm-2,VOC = 0.71 V,和FF = 0.71);电解液为溶于乙腈中的0.6 M 1,2-二甲基-3-正丙基咪唑碘化物(货号49637)- 0.1M 碘化锂(货号450952)-0.2 M I2(货号451045)-0.5 M 4-叔丁基吡啶(货号142379)。

图 4.基于 MK-2 的 DSSC 的光电流密度-电压曲线。
此外,基于MK-2的DSSC和离子液体 (IL) 基电解液显示出7.6%的η值(JSC = 13.9 mA cm-2,VOC = 0.73 V,和FF = 0.75),这与使用挥发性电解液的情况相当。18
电子扩散长度
在DSSC中,纳米TiO2电极中的电子传输过程对于高效太阳能电池性能也很重要,因为该过程与电子和染料阳离子之间以及电子和氧化还原离子(I3-)之间的电荷复合存在竞争,代表了系统中的损耗过程。对于要收集的光生电子,纳米TiO2电极中的电子传输必须在两个电荷复合过程中占主导地位。纳米TiO2电极中的电子传输动力学由电子扩散长度 (L) 定义,如下式所示:

其中D为电子扩散系数,τ为电子寿命。例如,使用常规香豆素染料的DSSC的τ值远小于基于钌配合物的DSSC,这表明在基于香豆素染料的太阳能电池中,电解质中的TiO2 和I3-离子之间的电荷复合更容易发生。从这个结果我们得出结论:与基于钌配合物的 DSSC 相比,基于有机染料的 DSSC 的 τ 值更小,导致L值也更小,进而导致 基于有机染料的DSSC性能低于基于钌配合物的 DSSC。
如上所述,MK染料的一个重要特征是在低聚噻吩主链上存在n-己基取代基。我们发现,基于带有烷基链的MK染料的DSSC的τ值长于基于具有噻吩但不具有烷基链的其他有机染料的DSSC的τ值。15-18 我们得出结论,由于空间位阻效应、疏水效应或两者兼而有之,长链烷基可阻止I3-离子接近TiO2表面,从而降低了TiO2表面附近I3-离子的浓度,进而减少了电子与I3-离子之间的电荷复合并提高了τ值。我们使用这些烷基官能化的MK染料所取得的成功强烈表明,基于有机染料光敏剂的DSSC的光伏性能可以进一步提高。
太阳能电池性能的长期稳定性
图5显示了在连续的AM 1.5G照射下,通过UV(<420nm)截止滤光片在约50 °C条件下基于MK-2的DSSC和IL离子电解质的长期稳定性数据(电解质为溶于1-甲基-3-正丙咪唑碘化铵的0.1M LiI-0.4M I2-0.1M TBP,货号49637)在超过2,000小时的时间内没有观察到η值的下降(图5)。19 这一结果清楚地表明,在相对较低的温度下,基于MK-2的DSSC在可见光照射下是稳定的。

图 5.基于 MK-2 的 DSSC 与离子电解液在可见光照射下的长期稳定性。
我们报道了在可见光照射下,吸附在纳米晶TiO2电极上的有机染料的稳定性。20,21 我们观察到具有低聚噻吩部分的MK21在可见光照射下具有良好稳定性,而没有低聚噻吩部分的染料降解速度明显更快。 瞬态吸收光谱测量数据表明,MK-2的低聚噻吩部分上的空穴离域导致了光激发后染料阳离子的高稳定性。20 该结果还表明,由于其低聚噻吩部分,MK-2及其阳离子在可见光照射下是相对稳定的。DSSC 的性能在包括UV光的白光照射下或在 80°C 的黑暗条件下逐渐下降,而染料分子没有从TiO2电极上分解或分离。21 这些结果表明,即使在白光照射以及80°C时的黑暗条件下,细胞中的MK-2染料分子也是稳定的。我们认为,在白光照射和 80°C 加热后,还有其他因素会降低太阳能电池的性能,对此,详细机理目前正在进一步研究中。
总结
我们设计并合成了用于DSSC的烷基官能化咔唑染料(MK染料)。基于MK染料的DSSC在模拟AM 1.5 G辐照下表现出高达8%的太阳能电池性能,并且在连续模拟太阳光(可见光照射)下具有良好的长期稳定性。MK染料最重要的特征之一是在低聚噻吩主链上存在一个正己基取代基,它能阻止电子与TiO2电极上的I3-离子之间的电荷复合,从而提高了染料分子的稳定性和太阳能电池的性能。我们的研究结果强烈表明,MK染料可以成功设计并用于DSSC,并进一步证明了基于有机染料光敏剂的DSSC的良好性能。
产品列表
参考文献
如要继续阅读,请登录或创建帐户。
暂无帐户?