胆固醇酯化
为了更有效地运输膳食胆固醇和合成胆固醇,胆固醇被转化为胆固醇酯。TEST游离胆固醇可以被脂蛋白吸收,但被限制在颗粒外表面。通过将胆固醇转化为胆固醇酯,可以将更多的胆固醇包装到脂蛋白的内部。这极大地增加了脂蛋白的能力,使其更有效地通过血流运输胆固醇。

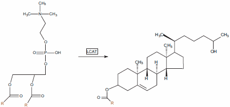
图 1.卵磷脂:胆固醇酰基转移酶(LCAT)存在于外周组织中,并利用磷脂酰胆碱作为酰基链的来源
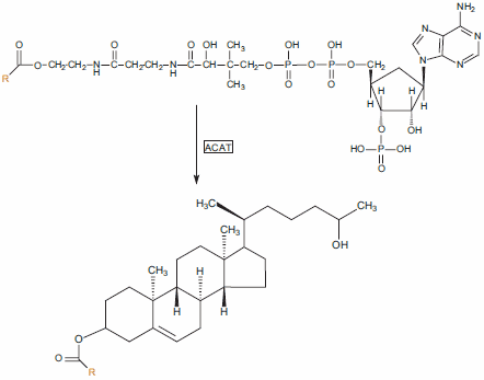
根据反应的位置,不同的酶催化胆固醇向胆固醇酯的转化。胆固醇向胆固醇酯的转化主要由外周组织中的卵磷脂:胆固醇酰基转移酶(LCAT)催化(参见图1)。在内腔中,肠上皮细胞吸收的膳食胆固醇被存在于肠和肝中的酰基辅酶A:胆固醇酰基转移酶2(ACAT2)酯化(参见图2)。ACAT1存在于所有组织中。LCAT和ACAT对酰基链所使用的来源也有所不同。LCAT使用磷脂酰胆碱,而ACAT使用酰基辅酶A。抑制这些酶是降低血浆中循环脂质的一种方法。

图 2.胆固醇酰基转移酶2(ACAT2)存在于肝脏和肠道中,并利用酰基辅酶A作为酰基链的来源。
材料
Loading
登录以继续。
如要继续阅读,请登录或创建帐户。
暂无帐户?