Neuroimmunology & Neuroinflammation Immunoassays
The Role of Immunoassays in Neuroimmunology and Neuroinflammation Research
Neuroinflammation plays a key role in the chronic processes of neurodegenerative diseases resulting from traumatic brain injury (TBI) and spinal cord injury. Inflammation is associated with disease progression in Alzheimer’s disease (AD), Parkinson’s disease, amyotrophic lateral sclerosis (ALS), and multiple sclerosis (MS). Elevated pro-inflammatory markers in the aging brain can increase the risk for cognitive impairment and the development of neurodegenerative disease.
We offer MILLIPLEX® multiplex assays for the Luminex® instrument platform and high sensitivity SMC® assays for the SMCxPRO® instrument platform to meet the needs of neuroscience researchers. These immunoassay tools enable scientists to explore neuroimmunology and neuroinflammation by monitoring biomarkers in advance of neurodegenerative disease onset, during chronic disease, and during potential therapeutic treatments to slow disease progression.

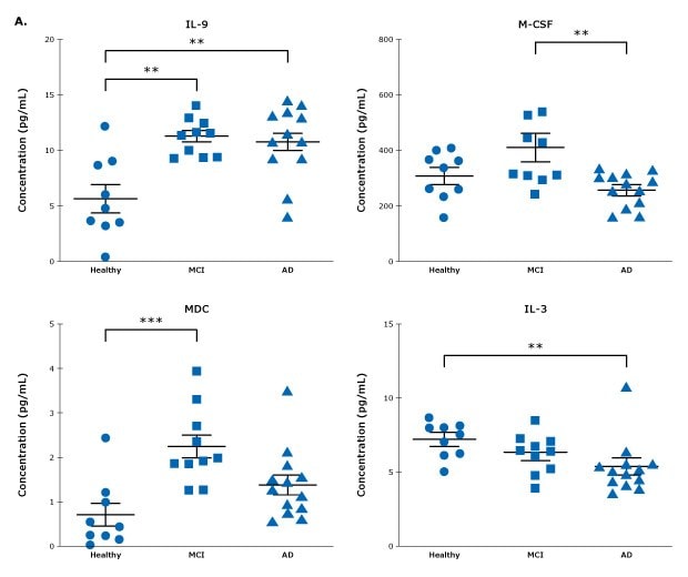
Figure 1.Concentration of MILLIPLEX® Human Panel A analytes in neurodegenerative disease samples. CSF samples were compared between healthy controls (n=9), mild cognitive impairment (MCI) samples (n=10), and AD samples (n=13). **p < 0.005 ***p > 0.0005.
Cytokine Analysis in Neurodegenerative Disease
Quantitating cytokine and chemokine markers of neuroinflammation and biomarkers of neurodegeneration in cerebral spinal fluid (CSF), serum/plasma, cell culture, and tissue lysate samples allow researchers to study disease progression associated with neuroinflammation and neurodegeneration. Neuroinflammation may play a role in AD and other neurodegenerative diseases, highlighting the utility of broadly profiling cytokines in CSF samples. The MILLIPLEX® Human Cytokine/Chemokine/Growth Factor Panel A and Panel B enable multiplexing of many types of bioassays reducing time, labor, and costs over traditional methods.
Ultrasensitive Analysis of Neurodegenerative Disease Biomarkers
The need for blood-based biomarkers of AD has driven a continuous search for novel candidates. However, the identification of blood-based biomarkers may be limited by the sensitivity of standard immunoassay methodologies. High sensitivity immunoassay technologies, such as SMC® technology, can transform neurodegenerative disease research by enabling the measurement of low-abundant proteins in a variety of biofluids and create opportunities for the identification of novel biomarkers.

Figure 2.CSF measurement of AD biomarkers. Analysis of control and AD CSF samples with each SMC® kit (SMC® Phospho-Tau (T181) Kit, SMC® Total Tau Kit, SMC® TDP-43 Kit, SMC® SNAP-25 Kit) revealed statistically significant differences in phosphorylated Tau T181 (p<0.02), total Tau (p<0.03), TDP-43 (p<0.01), and SNAP-25 (p<0.02).
Request Info on Neuroinflammation Immunoassay Products
Related Ultrasensitive SMC® Assays
Related MILLIPLEX® Multiplex Assays
Related ELISAs
For Research Use Only. Not For Use In Diagnostic Procedures.
Related Product Resources
- How High Sensitivity Immunoassays Expand Neuroscience Research | SMC® Technology
Discover how to expand neuroscience biomarker research with high sensitivity immunoassays, such as Single Molecule Counting (SMC®) assays. These assays give researchers the tools they need to detect low-abundant blood-based biomarkers and expand biomarker options in neuroscience research.
- Integrating Multiplex and High Sensitivity Immunoassay Detection of Alzheimer’s Disease Biomarkers
Learn how to integrate multiplex and high sensitivity immunoassay technology to further neuroscience research with MILLIPLEX® multiplex and Single Molecule Counting (SMC®) high sensitivity immunoassay detection of Alzheimer’s disease (AD) biomarkers in human cerebrospinal fluid, plasma, and serum samples.
- Detection of Alzheimer’s Disease Biomarkers | MILLIPLEX® Assays
Learn how multiplex detection of Alzheimer’s disease biomarkers, using the MILLIPLEX®Human Amyloid Beta and Tau Magnetic Bead Panel, allows for a different perspective on neurodegenerative disease research.
- Neuroscience Multiplex Assays | MILLIPLEX® Assays
Neuroscience multiplex assays, such as MILLIPLEX® multiplex assays, enable simultaneous measurement of neuroscience-related biomarkers to gain a better picture of neurodegenerative diseases, neurological disorders, and neuropeptide/neurohormone signaling.
- /language-masters/en/technical-documents/product-supporting/smc-technologies/measuring-endogenous-inflammation-biomarkers
- Power of High Sensitivity Assays in Immunology Research | SMC® Technology
See how you can enhance your immunology research through the power of high sensitivity immunoassays by harnessing Single Molecule Counting (SMC®) technology to precisely characterize interferons, interleukins, and immunoglobins.
- Immunology Multiplex Assays | MILLIPLEX® Assays
Immunology multiplex assays, like MILLIPLEX® assays, allow researchers to investigate more immune biomarkers simultaneously, saving time and resources. This is especially critical to immunology research, where numerous analytes play a role in different pathways.
- Multiplexing Inflammation Signaling Pathways | MILLIPLEX® Assays
See how multiplexing the inflammation signaling pathway with MILLIPLEX® inflammation assays or cell signaling assays can help researchers bridge the gap between immunology and cell signaling, including investigating T cell signaling, Th Cell differentiation, inflammatory response signaling, and sepsis signaling.
- Overview of Luminex® Multiplex Assay Technology | MILLIPLEX® Multiplex Assays
Discover the benefits of MILLIPLEX® multiplex assays, based on Luminex® xMAP® multiplex assay technology, that provide consistent, high-quality results. See how these multiplex biomarker Luminex® assays are being used to advance research for immunology, cancer, veterinary medicine, metabolism/endocrinology, and more.
- Overview of Ultrasensitive Immunoassay Technology | SMC® Technology
See an overview of ultrasensitive immunoassay technology with Single Molecule Counting (SMC®) technology, including its workflow, biomarker detection platform, research areas, advantages of high sensitivity SMC® assays, and more.
- Conferma™ Sandwich ELISAs
Conferma™ Sandwich ELISAs are created with a focus on their critical components. Combined with finished kit quality control analysis, explore Conferma™ ELISA validation that provides a high degree of consistency with each lot to give you confidence in your research.
- /CN/en/technical-documents/product-supporting/milliplex/how-to-select-your-immunoassay-platform
如要继续阅读,请登录或创建帐户。
暂无帐户?