Skip to Content
Merck
CN

180955

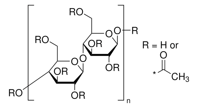
Cellulose acetate

average Mn ~30,000 by GPC

Synonym(s):

Acetylcellulose, Cellulose & cellulose derivatives

Sign In to View Organizational & Contract Pricing.

Select a Size

Change View

About This Item

CAS Number:
UNSPSC Code:
12162002
NACRES:
NA.23
MDL number:
Technical Service
Need help? Our team of experienced scientists is here for you.
Let Us Assist


form

powder

mol wt

average Mn ~30,000 by GPC

extent of labeling

39.8 wt. % acetyl

impurities

≤3.0% water

refractive index

n20/D 1.475 (lit.)

density

1.3 g/mL at 25 °C (lit.)

SMILES string

O1[C@H](C(C(C(C1COC(=O)C)OC(=O)C)OC(=O)C)OC(=O)C)O[C@@H]2C(OC(C(C2OC(=O)C)OC(=O)C)OC(=O)C)COC(=O)C

InChI

1S/C28H38O19/c1-11(29)37-9-19-21(39-13(3)31)23(40-14(4)32)26(43-17(7)35)28(46-19)47-22-20(10-38-12(2)30)45-27(44-18(8)36)25(42-16(6)34)24(22)41-15(5)33/h19-28H,9-10H2,1-8H3/t19?,20?,21?,22-,23?,24?,25?,26?,27?,28+/m1/s1

InChI key

WOTQVEKSRLZRSX-OLIDUAMRSA-N

General description

Cellulose is a naturally occurring biodegradable and biocompatible polymer. Cellulose based polymers find wide variety of applications as base matrix in biopharmaceutical industry. Cellulose acetate is soluble in acetone. Cellulose acetate can be easily electrospun into its nanofibers.

Application

Cellulose acetate was used in the fabrication of gold microelectrode for electrochemical monochloramine measurement. Cellulose acetate based membranes are used in the separations in aqueous systems and in reverse osmosis process. It has been reported to be used to desalinate seawater.Cellulose acetate was used for biosensor encapsulation. It was used in the preparation of cellulose acetate nanofibre felt structure, cellulose acetate fibers.


Still not finding the right product?

Explore all of our products under Cellulose acetate


Storage Class

11 - Combustible Solids

wgk

nwg

flash_point_f

Not applicable

flash_point_c

Not applicable

ppe

Eyeshields, Gloves, type N95 (US)



Choose from one of the most recent versions:

Certificates of Analysis (COA)

Lot/Batch Number

Don't see the Right Version?

If you require a particular version, you can look up a specific certificate by the Lot or Batch number.

Already Own This Product?

Find documentation for the products that you have recently purchased in the Document Library.

Visit the Document Library



Solvent control of cellulose acetate nanofibre felt structure produced by electrospinning
Haas D, et al.
J. Mater. Sci., 45(5), 1299-1306 (2010)
Fabrication and bioseparation studies of adsorptive membranes/felts made from electrospun cellulose acetate nanofibers
Zhang L, et al.
Journal of Membrane Science , 319(1), 176-184 (2008)
Printed and flexible biosensor for antioxidants using interdigitated ink-jetted electrodes and gravure-deposited active layer
Pavinatto FJ, et al.
Biosensors And Bioelectronics (2014)



Global Trade Item Number

SKUGTIN
180955-25G04061838755063
180955-500G04061838252197