Skip to Content
Merck
CN

200565

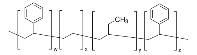
Polystyrene-block-poly(ethylene-ran-butylene)-block-polystyrene

mol wt 65-115 kDa by GPC, powder (Coarse)

Sign In to View Organizational & Contract Pricing.

Select a Size

Change View

About This Item

Linear Formula:
[-CH2CH(C6H5)-]W(-CH2CH2-)x[-CH2CH(C2H5)-]y[-CH2CH(C6H5)-]Z
CAS Number:
NACRES:
NA.23
PubChem Substance ID:
UNSPSC Code:
12162002
MDL number:
Technical Service
Need help? Our team of experienced scientists is here for you.
Let Us Assist


form

powder (Coarse)

Quality Level

mol wt

65-115 kDa by GPC

contains

<1% antioxidant as inhibitor

viscosity

550 cP, 20 % in toluene, Brookfield(lit.)

density

0.91 g/mL at 25 °C (lit.)

SMILES string

C=C.C=CC=C.C=Cc1ccccc1

InChI

1S/C8H8.C4H6/c1-2-8-6-4-3-5-7-8;1-3-4-2/h2-7H,1H2;3-4H,1-2H2

InChI key

MTAZNLWOLGHBHU-UHFFFAOYSA-N

General description

Polystyrene-block-poly(ethylene-ran-butylene)-block-polystyrene, also known as SEBS polymer, is used as a thermoplastic elastomer. It has good thermal and chemical stability with tunable mechanical properties.

Application

SEBS can be used in the formation of an anion exchange membrane with an energy efficiency of ~ 86% for the fabrication of redox flow batteries. It can also be used to form sulfonated membranes with high water permeability and thermomechanical stability for HVAC applications. SEBS finds its usage as an ion exchange membrane with a capacity of ~1.91 mmol g-1 for fuel cells.


Still not finding the right product?


Storage Class

11 - Combustible Solids

wgk

WGK 3

flash_point_f

Not applicable

flash_point_c

Not applicable

ppe

Eyeshields, Gloves, type N95 (US)



Choose from one of the most recent versions:

Certificates of Analysis (COA)

Lot/Batch Number

Don't see the Right Version?

If you require a particular version, you can look up a specific certificate by the Lot or Batch number.

Already Own This Product?

Find documentation for the products that you have recently purchased in the Document Library.

Visit the Document Library



Macromolecular Symposia, 245(1), 450-456 (2006)



Global Trade Item Number

SKUGTIN
200565-250G04061838763778