Skip to Content
Merck
CN

541435

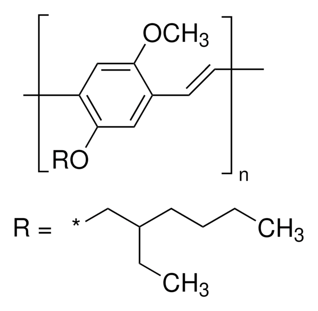
Poly[2-methoxy-5-(2-ethylhexyloxy)-1,4-phenylenevinylene]

average Mn 70,000-100,000

Synonym(s):

Poly[2-methoxy-5-(2-ethylhexyloxy)-1,4-phenylenevinylene], MEH-PPV

Sign In to View Organizational & Contract Pricing.

Select a Size

Change View

About This Item

Linear Formula:
(C18H28O2)n
CAS Number:
UNSPSC Code:
12352103
NACRES:
NA.23
MDL number:
Technical Service
Need help? Our team of experienced scientists is here for you.
Let Us Assist


Quality Level

description

Band gap: 2.3 eV, Light-emitting conjugated polymer

mol wt

average Mn 70,000-100,000

solubility

soluble (Soluble in Toluene or chlorobenzene)

fluorescence

λex 495 nm; λem 554 nm in toluene

orbital energy

HOMO -5.3 eV , LUMO -3 eV 

OLED device performance

ITO/PEDOT:PSS/MEH-PPV/Al

  • Color: orange-red
  • Max. Luminance: 220 Cd/m2
  • Max. EQE: 0.3 %
  • Turn-On Voltage: 3.8 V
, ITO/PEDOT:PSS/MEH-PPV/PBO/Al
  • Color: orange-red
  • Max. Luminance: 970 Cd/m2
  • Max. EQE: 1.9 %
  • Turn-On Voltage: 2.9 V
, ITO/PEDOT:PSS/MEH-PPV/PBZT/Al
  • Color: orange-red
  • Max. Luminance: 1400 Cd/m2
  • Max. EQE: 2.5 %
  • Turn-On Voltage: 2.8 V

OPV device performance

ITO/MEH-PPV/BBL/Al

  • Short-circuit current density (Jsc): 1.98 mA/cm2
  • Open-circuit voltage (Voc): 0.93 V
  • Fill Factor (FF): 0.47
  • Power Conversion Efficiency (PCE): 1.1 %
, ITO/MEH-PPV:PC61BM(1:4)/Ca
  • Short-circuit current density (Jsc): 2 mA/cm2
  • Open-circuit voltage (Voc): 0.8 V
  • Fill Factor (FF): 0.25
  • Power Conversion Efficiency (PCE): 1.5 %

storage temp.

2-8°C

SMILES string

O(CC(CCCC)CC)c1cc(c(cc1)OC)C=C

InChI

1S/C17H26O2/c1-5-8-9-14(6-2)13-19-16-10-11-17(18-4)15(7-3)12-16/h7,10-12,14H,3,5-6,8-9,13H2,1-2,4H3

InChI key

CTUSWJPWMNVXEE-UHFFFAOYSA-N

General description

MEH-PPV is a high-performance conjugated polymer used in organic light-emitting diodes (OLEDs) and organic photovoltaic (OPV) devices. With an average molecular weight of 70,000-100,000, it offers excellent solubility and optical properties, making it ideal for producing bright and efficient light in flexible electronic applications.
Light-emitting conjugated polymer.

Application

OLEDs: Utilized in the fabrication of flexible displays and lighting devices.

OPVs: Serves as an active layer in organic solar cells, contributing to energy conversion efficiency.
Conducting polymer in solar cells and carbon nanotube OLEDs. Useful in producing bright and efficient white polymeric light emitting diodes.
Filter before application.


Still not finding the right product?


Storage Class

11 - Combustible Solids

wgk

WGK 3

flash_point_f

Not applicable

flash_point_c

Not applicable

ppe

Eyeshields, Gloves, type N95 (US)



Choose from one of the most recent versions:

Certificates of Analysis (COA)

Lot/Batch Number

Don't see the Right Version?

If you require a particular version, you can look up a specific certificate by the Lot or Batch number.

Already Own This Product?

Find documentation for the products that you have recently purchased in the Document Library.

Visit the Document Library


Articles

基于PCBM的n型半导体 - 根据PCBM库和性质查找可用的p型和n型有机半导体。

LEP支持广泛的重要应用,包括传感器、柔性 LED 显示和照明装置、光泵激光器和潜在的聚合物二极管激光器。

The development of high-performance conjugated organic molecules and polymers has received widespread attention in industrial and academic research.

View All Articles

Related Content

This thematic issue focuses on the emerging applications of nanomaterials. Nanomaterials are defined as substances with at least one dimension smaller than 100 nm.


Michael Morgen et al.
Pharmaceutical research, 30(1), 257-268 (2012-09-22)
To evaluate using cationic polymeric nanoparticles that interact with hyaluronate to form ionically cross-linked hydrogels to increase the intra-articular retention time of osteoarthritis drugs in the synovial cavity. In vitro tests included nanoparticle release from cross-linked hydrogels using syringe and
Polybenzobisazoles Are Efficient Electron Transport Materials for Improving the Performance and Stability of Polymer Light-Emitting Diodes
Jenekhe, S. A.; et al.
Chemistry of Materials, 14, 4775-4780 (2002)
Cristina Consani et al.
The Journal of chemical physics, 142(21), 212429-212429 (2015-06-08)
Understanding the effects of aggregation on exciton relaxation and energy transfer is relevant to control photoinduced function in organic electronics and photovoltaics. Here, we explore the photoinduced dynamics in the low-temperature aggregated phase of a conjugated polymer by transient absorption



Global Trade Item Number

SKUGTIN
541435-1G04061832567051