Product Name
Poly(3,4-ethylenedioxythiophene), bis-poly(ethyleneglycol), lauryl terminated, 0.7 wt. % (dispersion in nitromethane)
form
liquid (dispersion)
Quality Level
contains
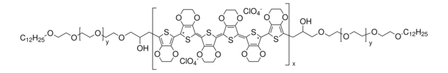
perchlorate as dopant
composition
Acetonitrile, 4-8 wt. % , Aedotron™- C3 polymer, 0.2-0.7 wt. % , Nitromethane, 90-95 wt. % , proprietary processing additive, 0.1-0.7 wt. % , Propylene glycol, 0.0-0.3 wt. %
concentration
0.5-0.9 wt. % (content of dispersion), 0.7 wt. % (dispersion in nitromethane)
surface resistivity
600-3000 Ω/sq
transmittance
70-85%
particle size
200-600 nm
conductivity
10-60 S/cm
General description
Application
Features and Benefits
Legal Information
Disclaimer
Still not finding the right product?
Explore all of our products under Poly(3,4-ethylenedioxythiophene), bis-poly(ethyleneglycol), lauryl terminated
signalword
Danger
Hazard Classifications
Acute Tox. 4 Inhalation - Acute Tox. 4 Oral - Carc. 2 - Flam. Liq. 2 - Repr. 2
Storage Class
3 - Flammable liquids
wgk
WGK 2
flash_point_f
71.6 °F - closed cup
flash_point_c
22 °C - closed cup
Regulatory Information
This item has
Choose from one of the most recent versions:
Already Own This Product?
Find documentation for the products that you have recently purchased in the Document Library.
Articles
Conjugated polymers offer charge transport between inorganic, electrically conducting metals and organic, proton-conducting biological systems.
In the field of organic printable electronics, such as OLEDs and organic photovoltaics (OPVs), improved organic conducting and semiconducting materials are needed. The progress in two fields is reviewed in this article.
Global Trade Item Number
| SKU | GTIN |
|---|---|
| 687316-25G | 04061838141088 |


