Select a Size
About This Item
description
Electrodes
Quality Level
form
liquid (dispersion)
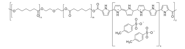
contains
p-toluenesulfonate as dopant
composition
Biotron PP polymer, 0.3-0.7 wt. % , ethanol, 4-8 wt. % , nitromethane, 90-95 wt. %
concentration
0.3-0.7 wt. % (dispersion in nitromethane)
conductivity
10-40 S/cm (bulk)
General description
Average transmittance: 70-90%
Biodegradble conducting polymer for bomedical applications. PCL diol blocks have average molecular weight 2000 and PPy block have an average molecular weight of 4000 with a 25% doping level. Good biocompatibility with expected weight loss of 40% at 200 days in pH=7 buffer.
Application
Features and Benefits
Other Notes
Legal Information
Disclaimer
signalword
Danger
Hazard Classifications
Acute Tox. 4 Inhalation - Acute Tox. 4 Oral - Carc. 2 - Flam. Liq. 2 - Repr. 2
Storage Class
3 - Flammable liquids
wgk
WGK 2
flash_point_f
66.9 °F
flash_point_c
19.4 °C
Regulatory Information
This item has
Choose from one of the most recent versions:
Already Own This Product?
Find documentation for the products that you have recently purchased in the Document Library.
Articles
近几十年来,人们对于环境可持续、商业可行的能源的迫切需求,催生并推动了大量致力实现低生产成本、高能效发电系统的研究工作。
The application of conducting polymers at the interface with biology is an exciting new trend in organic electronics research.
Self-healing soft electronic materials offer potential cost savings and reduced electronic waste.
Biomedical Applications
Global Trade Item Number
| SKU | GTIN |
|---|---|
| 735817-25G | 04061832875088 |


