Skip to Content
Merck
CN

749966

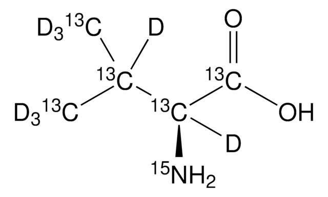
L-Valine-13C5,15N,2,3,4,4,4-d5-(4-methyl-d3)

98 atom % D, 99 atom % 13C, 98 atom % 15N, 95% (CP)

Synonym(s):

(S)-α-Aminovaleric acid-13C5,15N,2,3,3,4,4,4-d5,4-methyl-d3, L-2-Amino-3-methylbutanoic acid-13C5,15N,2,3,3,4,4,4-d5,4-methyl-d3

Sign In to View Organizational & Contract Pricing.

About This Item

Linear Formula:
(13CD3)213CD13CD(15NH2)13COOH
Molecular Weight:
131.15
PubChem Substance ID:
UNSPSC Code:
12352116
Isotopic purity:
99 atom % 13C, 98 atom % 15N, 98 atom % D
Assay:
95% (CP)
Mass shift:
M+14
Form:
solid


isotopic purity

99 atom % 13C, 98 atom % 15N, 98 atom % D

assay

95% (CP)

form

solid

technique(s)

bio NMR: suitable

mp

295-300 °C (subl) (lit.)

mass shift

M+14

SMILES string

O[13C]([13C@]([15NH2])([2H])[13C]([2H])([13C]([2H])([2H])[2H])[13C]([2H])([2H])[2H])=O

InChI

1S/C5H11NO2/c1-3(2)4(6)5(7)8/h3-4H,6H2,1-2H3,(H,7,8)/t4-/m0/s1/i1+1D3,2+1D3,3+1D,4+1D,5+1,6+1

InChI key

KZSNJWFQEVHDMF-BJZWQILWSA-N

Packaging

This product may be available from bulk stock and can be packaged on demand. For information on pricing, availability and packaging, please contact Stable Isotopes Customer Service.


Storage Class

11 - Combustible Solids

wgk

WGK 1

flash_point_f

Not applicable

flash_point_c

Not applicable



Choose from one of the most recent versions:

Certificates of Analysis (COA)

Lot/Batch Number

Don't see the Right Version?

If you require a particular version, you can look up a specific certificate by the Lot or Batch number.

Already Own This Product?

Find documentation for the products that you have recently purchased in the Document Library.

Visit the Document Library