Skip to Content
Merck
CN

907014

Coolade

greener alternative

paste

Sign In to View Organizational & Contract Pricing.

Select a Size

Change View

About This Item

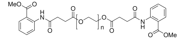
Empirical Formula (Hill Notation):
C68H112N2O31
CAS Number:
Molecular Weight:
1453.61
UNSPSC Code:
51171641
NACRES:
NA.22
Technical Service
Need help? Our team of experienced scientists is here for you.
Let Us Assist


Product Name

Coolade,

form

paste

Quality Level

greener alternative product characteristics

Designing Safer Chemicals
Learn more about the Principles of Green Chemistry.

sustainability

Greener Alternative Product

mp

27-30 °C

greener alternative category

General description

We are committed to bringing you Greener Alternative Products, which adhere to one or more of The 12 Principles of Greener Chemistry.This product has been enhanced for "Designing Safer Chemicals".
Click here for more information.

Application

Coolade is a low-foaming designer surfactant developed in the Lipshutz Lab tailored to enable organic synthesis in water. When used in aqueous micellar catalytic redutions, Coolade minimizes foaming traditionally resulting from the combination of gas evolution and the use of a surfactant.


Storage Class

11 - Combustible Solids

wgk

WGK 3

flash_point_f

Not applicable

flash_point_c

Not applicable



Choose from one of the most recent versions:

Certificates of Analysis (COA)

Lot/Batch Number

It looks like we've run into a problem, but you can still download Certificates of Analysis from our Documents section.

If you need assistance, please contact Customer Support

Already Own This Product?

Find documentation for the products that you have recently purchased in the Document Library.

Visit the Document Library


Articles

Surfactants for efficient reactions in water as a green chemistry alternative.