Skip to Content
Merck
CN

911801

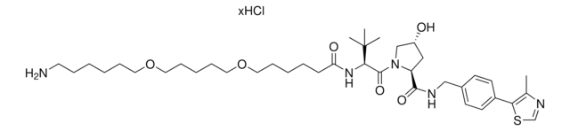
AHPC-C6-PEG1-C3-PEG1-butyl amine hydrochloride

≥90%

Synonym(s):

(2S,4R)-1-((S)-2-(6-((5-((6-aminohexyl)oxy)pentyl)oxy)hexanamido)-3,3-dimethylbutanoyl)-4-hydroxy-N-(4-(4-methylthiazol-5-yl)benzyl)pyrrolidine-2-carboxamide, AHPC-6-5-6-NH2 HCl salt, Crosslinker−E3 ligase ligand conjugate, Protein degrader building block for PROTAC® research, Template for synthesis of targeted protein degrader, VH032 conjugate

Sign In to View Organizational & Contract Pricing.

Select a Size

Change View

Technical Service
Need help? Our team of experienced scientists is here for you.
Let Us Assist


ligand

VH032

assay

≥90%

form

(Powder or Crystals or Semi-solid Chunks)

reaction suitability

reactivity: carboxyl reactive, reagent type: ligand-linker conjugate

functional group

amine

storage temp.

2-8°C

SMILES string

NCCCCCCOCCCCCOCCCCCC(N[C@H](C(N1[C@H](C(NCC2=CC=C(C3=C(C)N=CS3)C=C2)=O)C[C@@H](O)C1)=O)C(C)(C)C)=O.Cl

Application

Protein degrader building block (S,R,S)-AHPC-C6-PEG1-C3-PEG1-butyl amine enables the synthesis of molecules for targeted protein degradation and PROTAC (proteolysis-targeting chimeras) technology. This conjugate contains a von Hippel-Lindau (VHL)-recruiting ligand, a linker with both hydrophobic and hydrophilic moieties, and a pendant amine for reactivity with a carboxylic acid on the target ligand. Because even slight alterations in ligands and crosslinkers can affect ternary complex formation between the target, E3 ligase, and PROTAC, many analogs are prepared to screen for optimal target degradation. When used with other protein degrader building blockswith a pendant amine, parallel synthesis can be used to more quickly generate PROTAC libraries that feature variation in crosslinker length, composition, and E3 ligase ligand.

Legal Information

PROTAC is a registered trademark of Arvinas Operations, Inc., and is used under license


Storage Class

11 - Combustible Solids

wgk

WGK 3

flash_point_f

Not applicable

flash_point_c

Not applicable

Regulatory Information

新产品

This item has



Choose from one of the most recent versions:

Certificates of Analysis (COA)

Lot/Batch Number

It looks like we've run into a problem, but you can still download Certificates of Analysis from our Documents section.

If you need assistance, please contact Customer Support

Already Own This Product?

Find documentation for the products that you have recently purchased in the Document Library.

Visit the Document Library


Articles

Protein Degrader Building Blocks are a collection of crosslinker-E3 ligand conjugates with a pendant functional group for covalent linkage to a target ligand.


Ashton C Lai et al.
Angewandte Chemie (International ed. in English), 55(2), 807-810 (2015-11-26)
Proteolysis Targeting Chimera (PROTAC) technology is a rapidly emerging alternative therapeutic strategy with the potential to address many of the challenges currently faced in modern drug development programs. PROTAC technology employs small molecules that recruit target proteins for ubiquitination and



Global Trade Item Number

SKUGTIN
911801-50MG04061841323297