Skip to Content
Merck
CN

916676

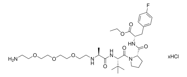
A1V1PF2-OEt-PEG3-NH2 hydrochloride

Synonym(s):

AVP conjugate for IAP-mediated protein degrader development, Ethyl (S)-2-((S)-1-((2S,5S)-17-amino-2-(tert-butyl)-5-methyl-4-oxo-9,12,15-trioxa-3,6-diazaheptadecanoyl)pyrrolidine-2-carboxamido)-3-(4-fluorophenyl)propanoate hydrochloride, SNIPER building block

Sign In to View Organizational & Contract Pricing.

Select a Size

Change View

About This Item

Empirical Formula (Hill Notation):
C33H54FN5O8 · xHCl
Molecular Weight:
667.81 (free base basis)
MDL number:
UNSPSC Code:
41116105
NACRES:
NA.22
Technical Service
Need help? Our team of experienced scientists is here for you.
Let Us Assist


ligand

A1V1PF2

Quality Level

form

powder

reaction suitability

reactivity: carboxyl reactive, reagent type: ligand-linker conjugate

functional group

amine

storage temp.

2-8°C

SMILES string

C[C@H](NCCOCCOCCOCCN)C(N[C@H](C(N1CCC[C@H]1C(N[C@H](C(OCC)=O)CC2=CC=C(C=C2)F)=O)=O)C(C)(C)C)=O.Cl

InChI

1S/C33H54FN5O8.ClH/c1-6-47-32(43)26(22-24-9-11-25(34)12-10-24)37-30(41)27-8-7-15-39(27)31(42)28(33(3,4)5)38-29(40)23(2)36-14-17-45-19-21-46-20-18-44-16-13-35;/h9-12,23,26-28,36H,6-8,13-22,35H2,1-5H3,(H,37,41)(H,38,40);1H/t23-,26-,27-,28+;/m0./s1

InChI key

SFGULORBEZCHMB-LNATTZSPSA-N

Application

Protein degrader building block A1V1PF2-OEt-PEG3-NH2 hydrochloride enables the synthesis of molecules for targeted protein degradation and SNIPER (specific and non-genetic inhibitor of apoptosis protein (IAP)-dependent protein erasers) technology. Developed in partnership with ComInnex, this conjugate contains an in silico-derived IAP-recruiting ligand, an alkyl-chain crosslinker, and a pendant amine for reactivity with an acid on a target warhead. Because even slight alterations in ligands and crosslinkers can affect ternary complex formation between the target, E3 ligase, and protein degrader, many analogs are prepared to screen for optimal target degradation. When used with other protein degrader building blocks with a terminal amine, including CRBN and VHL targeted, parallel synthesis can be used to more quickly generate SNIPER and PROTAC® degrader libraries that feature variation in crosslinker length, composition, and E3 ligase ligand. Learn more about the novel IAP ligands generated through virtual screening of AVP mimetics in our Technology Spotlight.Building blocks in this series:917710 A1V1PF2-OEt917427 A1V1PF2-OEt-C6-NH2 hydrochloride917672 A1V1PF2-OEt-C10-NH2 hydrochloride 917923 A1V1PF2-OEt-PEG1-NH2 hydrochloride916676 A1V1PF2-OEt-PEG3-NH2 hydrochlorideTechnology Spotlight: Degrader Building Blocks with Inhibitor of Apoptosis Protein (IAP) In Silico-Derived Ligands

Legal Information

PROTAC is a registered trademark of Arvinas Operations, Inc., and is used under license


Storage Class

11 - Combustible Solids

wgk

WGK 3

flash_point_f

Not applicable

flash_point_c

Not applicable

Regulatory Information

新产品

This item has



Choose from one of the most recent versions:

Certificates of Analysis (COA)

Lot/Batch Number

It looks like we've run into a problem, but you can still download Certificates of Analysis from our Documents section.

If you need assistance, please contact Customer Support

Already Own This Product?

Find documentation for the products that you have recently purchased in the Document Library.

Visit the Document Library


Articles

Plate of 80 ligands against E3 ligase IAP designed by ComInnex; allows creation of bifunctional targeted protein degraders or molecular glues.

Protein Degrader Building Blocks are a collection of crosslinker-E3 ligand conjugates with a pendant functional group for covalent linkage to a target ligand.


Tasuku Ishida et al.
SLAS discovery : advancing life sciences R & D, 26(4), 484-502 (2020-11-05)
Bifunctional degrader molecules, also called proteolysis-targeting chimeras (PROTACs), are a new modality of chemical tools and potential therapeutics to understand and treat human disease. A required PROTAC component is a ligand binding to an E3 ubiquitin ligase, which is then joined to another ligand binding to a protein to



Global Trade Item Number

SKUGTIN
916676-50MG04061842647125