Skip to Content
Merck
CN

919578

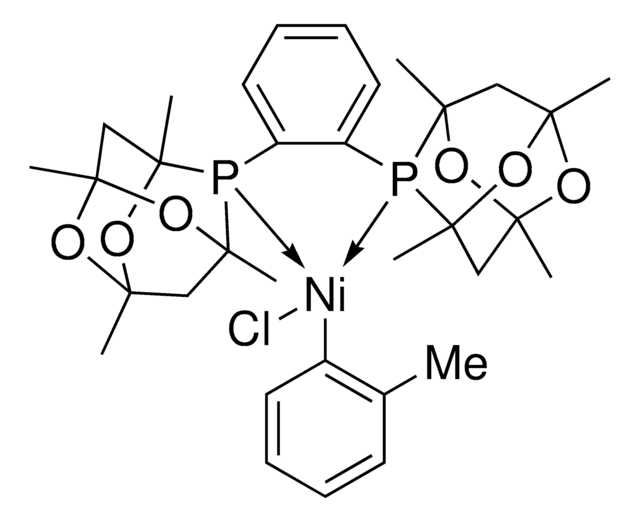
PAd2-DalPhos Ni(o-tolyl)Cl

powder

Synonym(s):

(PAd2-Dalphos)Ni()

Sign In to View Organizational & Contract Pricing.

Select a Size

Change View

About This Item

Empirical Formula (Hill Notation):
C33H43ClNiO6P2
Molecular Weight:
691.78
UNSPSC Code:
12161600
NACRES:
NA.22
Technical Service
Need help? Our team of experienced scientists is here for you.
Let Us Assist


Product Name

PAd2-DalPhos Ni(o-tolyl)Cl,

form

powder

Quality Level

reaction suitability

reagent type: catalyst
reaction type: Cross Couplings

mp

>300 °C

Application

PAd2-DalPhos Ni(o-tolyl)Cl is an air-stable precatalyst developed in the Stradiotto lab for cross coupling of primary heteroarylamines and (hetero)aryl chlorides.


Storage Class

11 - Combustible Solids

wgk

WGK 3

flash_point_f

Not applicable

flash_point_c

Not applicable



Choose from one of the most recent versions:

Certificates of Analysis (COA)

Lot/Batch Number

It looks like we've run into a problem, but you can still download Certificates of Analysis from our Documents section.

If you need assistance, please contact Customer Support

Already Own This Product?

Find documentation for the products that you have recently purchased in the Document Library.

Visit the Document Library



Global Trade Item Number

SKUGTIN
919578-250MG04065265965934