Sign In to View Organizational & Contract Pricing.
Select a Size
Change View
About This Item
Empirical Formula (Hill Notation):
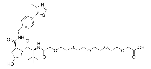
C34H50N4O11S
CAS Number:
Molecular Weight:
722.85
UNSPSC Code:
12352106
NACRES:
NA.22
MDL number:
ligand
VH032
Quality Level
assay
≥95%
form
solid (or Chunk(s))
color
off-white to light yellow
storage temp.
2-8°C
SMILES string
C([C@@H](NC(COCCOCCOCCOCCOCC(O)=O)=O)[C@](C)(C)C)(=O)N1[C@H](C(NCC2=CC=C(C=C2)C3=C(C)N=CS3)=O)C[C@@H](O)C1
InChI
1S/C34H50N4O11S/c1-23-30(50-22-36-23)25-7-5-24(6-8-25)18-35-32(43)27-17-26(39)19-38(27)33(44)31(34(2,3)4)37-28(40)20-48-15-13-46-11-9-45-10-12-47-14-16-49-21-29(41)42/h5-8,22,26-27,31,39H,9-21H2,1-4H3,(H,35,43)(H,37,40)(H,41,42)/t26-,27+,31-/m1/s1
InChI key
WLBIKNHFCNHRMV-FMVCKAMOSA-N
Application
(S,R,S)-AHPC-acetamido-O-PEG4-C1-acid is a functionalized von Hippel-Lindau (VHL) ligand. It contains a terminal carboxyl group for conjugation with amine linkers. A basic building block for development of a protein degrader library.
Technology Spotlight: Degrader Building Blocks for Targeted Protein Degradation
Protein Degrader Building Blocks
Technology Spotlight: Degrader Building Blocks for Targeted Protein Degradation
Protein Degrader Building Blocks
Other Notes
Targeted Protein Degradation by Small Molecules
Destruction of DNA-Binding Proteins by Programmable Oligonucleotide PROTAC (O′PROTAC): Effective Targeting of LEF1 and ERG
Small-Molecule PROTACS: New Approaches to Protein Degradation
Targeted Protein Degradation: from Chemical Biology to Drug Discovery
Impact of linker length on the activity of PROTACs
Destruction of DNA-Binding Proteins by Programmable Oligonucleotide PROTAC (O′PROTAC): Effective Targeting of LEF1 and ERG
Small-Molecule PROTACS: New Approaches to Protein Degradation
Targeted Protein Degradation: from Chemical Biology to Drug Discovery
Impact of linker length on the activity of PROTACs
Storage Class
11 - Combustible Solids
wgk
WGK 3
flash_point_f
Not applicable
flash_point_c
Not applicable
Regulatory Information
新产品
This item has
Choose from one of the most recent versions:
Already Own This Product?
Find documentation for the products that you have recently purchased in the Document Library.
Global Trade Item Number
| SKU | GTIN |
|---|---|
| 936553-50MG | 04065270787200 |