Skip to Content
Merck
CN

790981P

Avanti

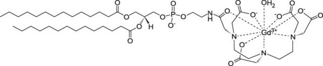
14:0 PE-DTPA (Gd)

Avanti Research - A Croda Brand

Synonym(s):

1,2-ditetradecanoyl-sn-glycero-3-phosphoethanolamine- N-diethylenetriaminepentaacetic acid (gadolinium salt); DMPE-DTPA (Gd)

Sign In to View Organizational & Contract Pricing.

Select a Size

Change View

About This Item

Empirical Formula (Hill Notation):
C47H90GdN6O17P
CAS Number:
Molecular Weight:
1199.47
MDL number:
NACRES:
NA.25
UNSPSC Code:
12352211
Technical Service
Need help? Our team of experienced scientists is here for you.
Let Us Assist


Product Name

14:0 PE-DTPA (Gd), 1,2-dimyristoyl-sn-glycero-3-phosphoethanolamine-N-diethylenetriaminepentaacetic acid (gadolinium salt), powder

assay

>99% (TLC)

form

powder

packaging

pkg of 1 × 5 mg (790981P-5mg)

manufacturer/tradename

Avanti Research - A Croda Brand 790981P

lipid type

phospholipids

shipped in

dry ice

storage temp.

−20°C

General description

14:0 PE-DTPA (Gd) has been used as a paramagnetic lipid to probe the orientation of a membrane protein in respect to the phospholipid bilayer membrane.
Lipid nanoparticles containing DMPE-DTPA(Gd) provide high quality contrast enhanced vascular MRI at 97% reduced dose of Gd and do not rely on renal clearance. Structure as shown by Cormode, D.P. et al.

Packaging

5 mL Amber Glass Screw Cap Vial (790981P-5mg)

Legal Information

Avanti Research is a trademark of Avanti Polar Lipids, LLC


Storage Class

11 - Combustible Solids

flash_point_f

No data available

flash_point_c

No data available



Choose from one of the most recent versions:

Certificates of Analysis (COA)

Lot/Batch Number

It looks like we've run into a problem, but you can still download Certificates of Analysis from our Documents section.

If you need assistance, please contact Customer Support

Already Own This Product?

Find documentation for the products that you have recently purchased in the Document Library.

Visit the Document Library



Assembly of phospholipid nanodiscs of controlled size for structural studies of membrane proteins by NMR
Hagn F, et al.
Nature Protocols, 13(1), 79-79 (2018)
Nanocrystal core high-density lipoproteins: a multimodality contrast agent platform.
Cormode DP, et al.
Nano Letters, 8, 3715-3723 (2008)
David P Cormode et al.
Nano letters, 8(11), 3715-3723 (2008-10-23)
High density lipoprotein (HDL) is an important natural nanoparticle that may be modified for biomedical imaging purposes. Here we developed a novel technique to create unique multimodality HDL mimicking nanoparticles by incorporation of gold, iron oxide, or quantum dot nanocrystals



Global Trade Item Number

SKUGTIN
790981P-5MG04061835189649