Select a Size
About This Item
grade
synthesis grade
Quality Level
form
powder
potency
1427 mg/kg LD50, oral (Rat), >2000 mg/kg LD50, skin (Rabbit)
greener alternative product characteristics
Catalysis
Learn more about the Principles of Green Chemistry.
sustainability
Greener Alternative Product
pH
6-9 (20 °C, 10 g/L in H2O)
mp
204-207 °C
transition temp
flash point >150 °C
solubility
>130 g/L
density
1.1 g/cm3 at 20 °C
bulk density
490‑560 kg/m3
greener alternative category
storage temp.
2-30°C
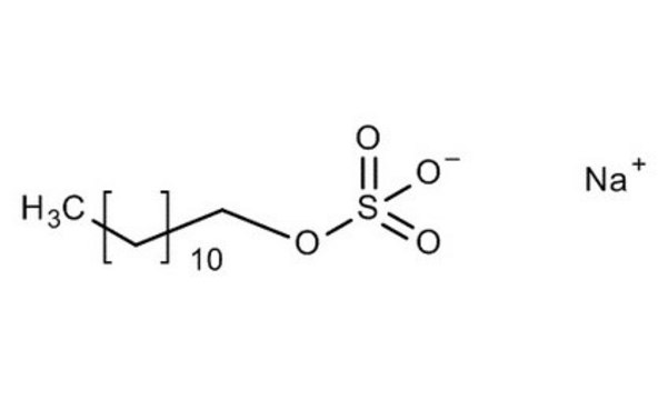
SMILES string
[Na+].[S](=O)(=O)([O-])OCCCCCCCCCCCC
InChI
1S/C12H26O4S.Na/c1-2-3-4-5-6-7-8-9-10-11-12-16-17(13,14)15;/h2-12H2,1H3,(H,13,14,15);/q;+1/p-1
InChI key
DBMJMQXJHONAFJ-UHFFFAOYSA-M
General description
Application
- In the synthesis of SiO2/polystyrene nanocomposite particles by miniemulsion polymerization.
- In the preparation of solid lipid NPs (SLNs) and poly(lactide-co-glycolide) NPs containing OA-Fe3O4 as CANs (composite antistatic NPs).
Analysis Note
Identity (IR): passes test
Still not finding the right product?
Explore all of our products under Sodium dodecyl sulfate
signalword
Danger
Hazard Classifications
Acute Tox. 4 Inhalation - Acute Tox. 4 Oral - Aquatic Chronic 3 - Eye Dam. 1 - Flam. Sol. 2 - Skin Irrit. 2 - STOT SE 3
target_organs
Respiratory system
Storage Class
4.1B - Flammable solid hazardous materials
wgk
WGK 2
flash_point_f
338.0 °F
flash_point_c
170 °C
Certificates of Analysis (COA)
Search for Certificates of Analysis (COA) by entering the products Lot/Batch Number. Lot and Batch Numbers can be found on a product’s label following the words ‘Lot’ or ‘Batch’.
Already Own This Product?
Find documentation for the products that you have recently purchased in the Document Library.
Global Trade Item Number
| SKU | GTIN |
|---|---|
| 8220500025 | 04027269250614 |
| 8220500100 | 04022536482934 |
| 8220509020 | 04022536482965 |
| 8220501000 | 04022536482941 |
| 8220502500 | 04022536482958 |


