Sign In to View Organizational & Contract Pricing.
Select a Size
Change View
About This Item
Empirical Formula (Hill Notation):
C18H26N2O4S
CAS Number:
Molecular Weight:
366.48
MDL number:
NACRES:
NA.22
UNSPSC Code:
12352005
Quality Level
product line
Novabiochem®
assay
≥98% (TLC), ≥98.0% (HPLC)
form
powder
reaction suitability
reaction type: Biotinylations
manufacturer/tradename
Novabiochem®
application(s)
peptide synthesis
storage temp.
2-30°C
InChI key
JMXONQIABZZOLX-FSBGKCOPSA-N
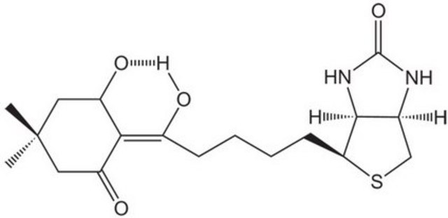
General description
A reagent for the reversible labeling of peptides with biotin [1]. Labeling of the N-terminal amine of resin-bound peptides is carried out by incubating overnight with excess reagent in DMF. The biotinylated peptide is obtained following TFA cleavage. Removal of the biotin label is effected by treatment with 5% aqueous hydrazine.
Associated Protocols and Technical Articles
Purification of Peptides using Chemoselective Tags
Literature references
[1] B. Kellam, et al. (1997) Tetrahedron Lett., 38, 5391
Associated Protocols and Technical Articles
Purification of Peptides using Chemoselective Tags
Literature references
[1] B. Kellam, et al. (1997) Tetrahedron Lett., 38, 5391
Analysis Note
Color (visual): white to slight yellow to beige
Appearance of substance (visual): powder
Identity (IR): passes test
Purity (TLC(011A)): ≥ 98 %
Assay (HPLC, area%): ≥ 98.0 % (a/a)
To see the solvent systems used for TLC of Novabiochem® products please click here.
Appearance of substance (visual): powder
Identity (IR): passes test
Purity (TLC(011A)): ≥ 98 %
Assay (HPLC, area%): ≥ 98.0 % (a/a)
To see the solvent systems used for TLC of Novabiochem® products please click here.
Other Notes
Replaces: 01-63-0108
Legal Information
Novabiochem is a registered trademark of Merck KGaA, Darmstadt, Germany
Storage Class
11 - Combustible Solids
wgk
WGK 3
flash_point_f
Not applicable
flash_point_c
Not applicable
Regulatory Information
新产品
This item has
Certificates of Analysis (COA)
Search for Certificates of Analysis (COA) by entering the products Lot/Batch Number. Lot and Batch Numbers can be found on a product’s label following the words ‘Lot’ or ‘Batch’.
Already Own This Product?
Find documentation for the products that you have recently purchased in the Document Library.
Articles
Long peptide purification removes impurities effectively, crucial for research and pharmaceutical applications.
Global Trade Item Number
| SKU | GTIN |
|---|---|
| 8510690005 | 04027269083540 |
| 8510690001 | 04027269083533 |