Skip to Content
Merck
CN

21203

Calcium ionophore V

Selectophore, ≥95%

Synonym(s):

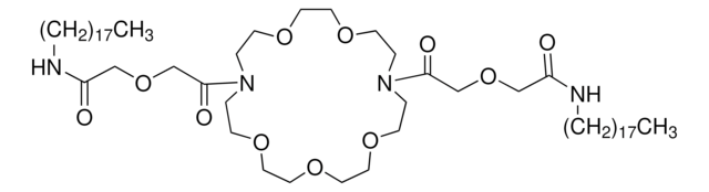
10,19-Bis[(octadecylcarbamoyl)methoxyacetyl]-1,4,7,13,16-pentaoxa-10,19-diazacycloheneicosane, K23E1

Sign In to View Organizational & Contract Pricing.

Select a Size

Change View

About This Item

Empirical Formula (Hill Notation):
C58H112N4O11
CAS Number:
Molecular Weight:
1041.53
NACRES:
NB.61
PubChem Substance ID:
UNSPSC Code:
26111700
MDL number:
Technical Service
Need help? Our team of experienced scientists is here for you.
Let Us Assist


description

for ion-selective electrodes

Quality Level

product line

Selectophore

assay

≥95%

form

powder

SMILES string

CCCCCCCCCCCCCCCCCCNC(=O)COCC(=O)N1CCOCCOCCOCCN(CCOCCOCC1)C(=O)COCC(=O)NCCCCCCCCCCCCCCCCCC

InChI

1S/C58H112N4O11/c1-3-5-7-9-11-13-15-17-19-21-23-25-27-29-31-33-35-59-55(63)51-72-53-57(65)61-37-41-67-45-46-68-42-38-62(40-44-70-48-50-71-49-47-69-43-39-61)58(66)54-73-52-56(64)60-36-34-32-30-28-26-24-22-20-18-16-14-12-10-8-6-4-2/h3-54H2,1-2H3,(H,59,63)(H,60,64)

InChI key

LKKJODPUVIMZGC-UHFFFAOYSA-N

General description

Visit our Sensor Applications portal to learn more.

Application

Calcium ionophore V (K23E1) may be used in fabricating calcium on to the waveguide sensor to understand the selectivity of the specific ion and also measure its concentration.
Selected application examples

Packaging

Bottomless glass bottle. Contents are inside inserted fused cone.

Other Notes

Employed in highly calcium-selective membrane electrodes exhibit excellent selectivity toward alkali and earth alkali ions (log KPOT(Ca2+,Mg2+ = -5.0)) and extremely high lipophilicity (log PTLC ionophore: 14.6); Neutral ionophore used in a calcium-selective optode

Legal Information

Selectophore is a trademark of Merck KGaA, Darmstadt, Germany


Storage Class

11 - Combustible Solids

wgk

WGK 3

flash_point_f

Not applicable

flash_point_c

Not applicable

ppe

Eyeshields, Gloves, type N95 (US)



Choose from one of the most recent versions:

Certificates of Analysis (COA)

Lot/Batch Number

It looks like we've run into a problem, but you can still download Certificates of Analysis from our Documents section.

If you need assistance, please contact Customer Support

Already Own This Product?

Find documentation for the products that you have recently purchased in the Document Library.

Visit the Document Library