Skip to Content
Merck
CN

936790

meCgPPh Pd G3 ChemBeads

greener alternative

solid

Synonym(s):

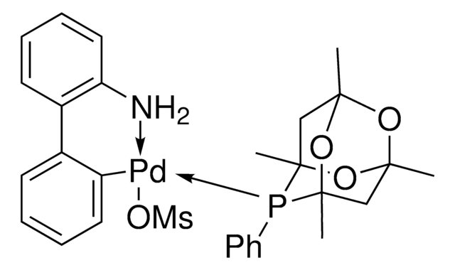
[(1,3,5,7-Tetramethyl-6-phenyl-2,4,6-trioxa-6-phosphaadamantane)-2-(2′-amino-1,1′-biphenyl)]palladium(II) methanesulfonate

Sign In to View Organizational & Contract Pricing.

Select a Size

Change View

About This Item

Empirical Formula (Hill Notation):
C29H34NO6PPdS
CAS Number:
Molecular Weight:
662.04
MDL number:
UNSPSC Code:
12352100
NACRES:
NA.22
Technical Service
Need help? Our team of experienced scientists is here for you.
Let Us Assist


Product Name

meCgPPh Pd G3 ChemBeads,

Quality Level

product line

ChemBeads

form

solid

composition

, ~5 wt. % (loading of catalyst)

reaction suitability

reaction type: Buchwald-Hartwig Cross Coupling Reaction, reaction type: Cross Couplings, reaction type: Heck Reaction, reaction type: Hiyama Coupling, reaction type: Negishi Coupling, reaction type: Sonogashira Coupling, reaction type: Stille Coupling, reaction type: Suzuki-Miyaura Coupling, reagent type: catalyst

greener alternative product characteristics

Waste Prevention
Catalysis
Learn more about the Principles of Green Chemistry.

sustainability

Greener Alternative Product

greener alternative category

SMILES string

CS(=O)(=O)O[Pd]c1ccccc1-c2ccccc2N.CC34CC5(C)OC(C)(CC(C)(O3)P5c6ccccc6)O4

InChI

1S/C16H21O3P.C12H10N.CH4O3S.Pd/c1-13-10-15(3)19-14(2,17-13)11-16(4,18-13)20(15)12-8-6-5-7-9-12;13-12-9-5-4-8-11(12)10-6-2-1-3-7-10;1-5(2,3)4;/h5-9H,10-11H2,1-4H3;1-6,8-9H,13H2;1H3,(H,2,3,4);/q;;;+1/p-1

InChI key

PBZIJOKKZYPPSJ-UHFFFAOYSA-M

General description

[(1,3,5,7-Tetramethyl-6-phenyl-2,4,6-trioxa-6-phosphaadamantane)-2-(2′-amino-1,1′-biphenyl)]palladium (II) methanesulfonate (meCgPPh Pd G3) is an air and moisture sensitive palladium compound used as a catalyst in cross coupling reaction.
We are committed to bringing you Greener Alternative Products, which adhere to one or more of the 12 Principles of Greener Chemistry. ChemBeads are advanced solid-coated beads for high-throughput experimentation in various chemical applications. They enable precise dispensing of solid reagents, allowing researchers to conduct reactions with minimal material use, thus supporting waste prevention and catalysis principles while ensuring accuracy and reproducibility. This technology enhances efficiency and streamlines experimental processes in chemistry. Click here for more information.

Application

ChemBeads are chemical coated glass beads. ChemBeads offer improved flowability and chemical uniformity perfect for automated solid dispensing and high-throughput experimentation. The method of creating ChemBeads uses no other chemicals or surfactants allowing the user to accurately dispense sub-milligram amounts of chemical.

For larger scale uses, product also available in powdered form (762822)


Storage Class

13 - Non Combustible Solids

wgk

WGK 3

flash_point_f

Not applicable

flash_point_c

Not applicable

Regulatory Information

新产品

This item has



Choose from one of the most recent versions:

Certificates of Analysis (COA)

Lot/Batch Number

It looks like we've run into a problem, but you can still download Certificates of Analysis from our Documents section.

If you need assistance, please contact Customer Support

Already Own This Product?

Find documentation for the products that you have recently purchased in the Document Library.

Visit the Document Library



Global Trade Item Number

SKUGTIN
936790-1G04065270901521