Skip to Content
Merck
CN

H6891

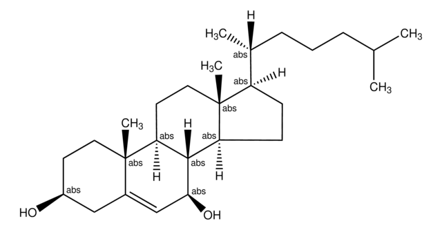
7β-Hydroxycholesterol

≥95%

Synonym(s):

5-Cholestene-3β,7β-diol

Sign In to View Organizational & Contract Pricing.

Select a Size

Change View

About This Item

Empirical Formula (Hill Notation):
C27H46O2
CAS Number:
Molecular Weight:
402.65
NACRES:
NA.77
PubChem Substance ID:
UNSPSC Code:
12352211
MDL number:
Technical Service
Need help? Our team of experienced scientists is here for you.
Let Us Assist


Quality Level

assay

≥95%

form

powder

functional group

hydroxyl

shipped in

ambient

storage temp.

room temp

SMILES string

[H][C@@]12[C@]([C@](CC[C@H](O)C3)(C)C3=C[C@@H]2O)([H])CC[C@@]4(C)[C@@]1([H])CC[C@]4([H])[C@]([H])(C)CCCC(C)C

InChI

1S/C27H46O2/c1-17(2)7-6-8-18(3)21-9-10-22-25-23(12-14-27(21,22)5)26(4)13-11-20(28)15-19(26)16-24(25)29/h16-18,20-25,28-29H,6-15H2,1-5H3

InChI key

OYXZMSRRJOYLLO-UHFFFAOYSA-N

Application

7β-hydroxycholesterol was used to study oxysterol-induced apoptosis in human endothelial cells.

Biochem/physiol Actions

7β-Hydroxycholesterol is an oxysterol, the enzymatic or non-enzymatic product of cholesterol oxidation. Oxysterols are cytotoxic and induce death in monocytes, smooth muscle cells and endothelial cells. The mechanism of apoptosis induced by oxysterols may involve caspases or DNA fragmentation. Increased levels of 7β-Hydroxycholesterol correlates with increased risk of cardiovascular diseases including atherosclerosis.

Preparation Note

7β-Hydroxycholesterol yields clear, colorless to faint yellow solution in ethanol, with or without heating.


Still not finding the right product?

Explore all of our products under 7β-Hydroxycholesterol


Storage Class

11 - Combustible Solids

wgk

WGK 3

flash_point_f

Not applicable

flash_point_c

Not applicable



Choose from one of the most recent versions:

Certificates of Analysis (COA)

Lot/Batch Number

Don't see the Right Version?

If you require a particular version, you can look up a specific certificate by the Lot or Batch number.

Already Own This Product?

Find documentation for the products that you have recently purchased in the Document Library.

Visit the Document Library







Global Trade Item Number

SKUGTIN
H6891-1MG04061833802427
H6891-10MG04061833076538
H6891-5MG04061833802533