Sign In to View Organizational & Contract Pricing.
Select a Size
Change View
About This Item
Linear Formula:
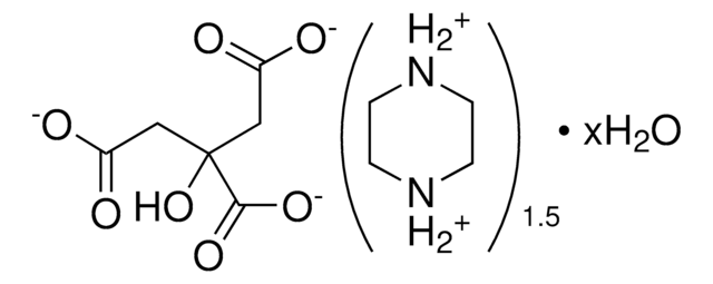
(C4H10N2)3 · (C6H8O7)2 · xH2O
CAS Number:
Molecular Weight:
321.33 (anhydrous basis)
UNSPSC Code:
41116107
NACRES:
NA.24
PubChem Substance ID:
MDL number:
Beilstein/REAXYS Number:
3777748
grade
pharmaceutical primary standard
API family
piperazine
manufacturer/tradename
USP
application(s)
pharmaceutical (small molecule)
format
neat
storage temp.
2-8°C
SMILES string
OC(C(CC(O)=O)(CC(O)=O)O)=O.OC(C(CC(O)=O)(O)CC(O)=O)=O.O.N1CCNCC1.N2CCNCC2.N3CCNCC3
InChI
1S/2C6H8O7.3C4H10N2.H2O/c2*7-3(8)1-6(13,5(11)12)2-4(9)10;3*1-2-6-4-3-5-1;/h2*13H,1-2H2,(H,7,8)(H,9,10)(H,11,12);3*5-6H,1-4H2;1H2
InChI key
LWMBPKJYEQGDLN-UHFFFAOYSA-N
General description
This product is provided as delivered and specified by the issuing Pharmacopoeia. All information provided in support of this product, including SDS and any product information leaflets have been developed and issued under the Authority of the issuing Pharmacopoeia.
For further information and support please go to the website of the issuing Pharmacopoeia.
For further information and support please go to the website of the issuing Pharmacopoeia.
Application
Piperazine citrate USP reference standard, intended for use in specified quality tests and assays as specified in the USP compendia.
Analysis Note
These products are for test and assay use only. They are not meant for administration to humans or animals and cannot be used to diagnose, treat, or cure diseases of any kind.
Other Notes
Sales restrictions may apply.
signalword
Warning
hcodes
pcodes
Hazard Classifications
Eye Irrit. 2 - Skin Irrit. 2 - STOT SE 3
target_organs
Respiratory system
Storage Class
11 - Combustible Solids
wgk
WGK 1
flash_point_f
Not applicable
flash_point_c
Not applicable
Choose from one of the most recent versions:
Already Own This Product?
Find documentation for the products that you have recently purchased in the Document Library.
Global Trade Item Number
| SKU | GTIN |
|---|---|
| 1541805-200MG | 04061833853672 |
