Skip to Content
Merck
CN
HomeProtein Concentration & Buffer ExchangeDetergent Removal with Amicon® Pro Centrifugal Filters

Detergent Removal with Amicon® Pro Centrifugal Filters

Detergents are frequently used to solubilize proteins and nucleic acids during purification, but the presence of detergents may interfere with downstream analyses. Free detergent can be removed by various protocols1; however, detergent molecules that are noncovalently bound to macromolecules can be displaced but not completely removed. Fortunately, for most downstream analyses, it is sufficient to remove the free detergent.

Amicon® Pro centrifugal filters are efficient tools for removing detergents from solutions of proteins or nucleic acids. The choice of filter depends on the critical micelle concentration (CMC) for a given detergent. At concentrations above the CMC, detergent monomers form micelle aggregates with gross changes in molecular structure. Choosing a centrifugal device with the correct nominal molecular weight limit (NMWL) allows for effective detergent removal.

However, it may be challenging to choose an ultrafiltration device with a NMWL that allows detergents, but not protein of interest, to pass through. Because they form large micelles, many detergents require using membranes with NMWL as high as 100 kDa for size-based depletion, resulting in loss of the proteins of interest in the sample. One way to use smaller pore size ultrafilters for these detergents is to reduce micelle formation first, by sample dilution.

The Amicon® Pro system was used to remove detergents using continuous diafiltration, in which a constant sample volume is continously washed with detergent-free buffer. This method could remove detergents more efficiently and with higher protein recovery than using discontinuous diafiltration or dialysis. Simultaneous monitoring detergent removal and protein recovery was performed using the Direct Detect® infrared spectrometer.

For more information on detergent removal monitoring methods, please refer to our publication, Detergent Analysis in Protein Samples Using Mid-Infrared (MIR) Spectroscopy.

Method

  1. If necessary, clarify the sample to be analyzed using a Steriflip® 0.45 µm filter or a Millex® 0.45 µm syringe filter.
  2. Use the Direct Detect® spectrometer to estimate concentrations of detergent and protein in the starting material. Refer to the Direct Detect® User Guide, as well as our publication, for details on calibrating the spectrometer using an 8-point dilution of the detergent of interest and the instrument software’s “lipid calibration wizard”.
  3. Add 50-100 µL of this sample to the Amicon® Ultra 0.5 mL filter (included in the Amicon® Pro system)
  4. Attach the filter to the Amicon® Pro exchange device.
  5. Add 1 mL of phosphate-buffered saline to the exchange device/Amicon® Ultra 0.5 mL filter assembly. Fully assemble Amicon® Pro device.
    (The Amicon® Pro device can safely accommodate up to 9 mL of buffer. However, adding just 1.0 mL of fresh buffer will effectively enable 1000-fold buffer exchange, because of the efficiency of continous diafiltration in constantly exposing the sample to fresh, detergent-free buffer.)
  6. Centrifuge at 4,000 x g for 30 minutes in a swinging-bucket rotor.
  7. Remove and disassemble the Amicon® Pro device.
  8. Place the Amicon® Ultra 0.5 mL collection tube over the top of the Amicon® Ultra 0.5 mL filter and invert.
  9. Recover the sample by spinning in a fixed-angle rotor at 1,000 × g for 2 minutes.
  10. Use the Direct Detect® spectrometer as in step 2 to estimate concentration of recovered protein and to confirm detergent displacement.

Example Results of Detergent Removal Using the Amicon® Pro System

Removal of 0.5% sodium deoxycholate from 2 mg/mL IgG. Using 2 mg/mL IgG solubilized in 0.5% sodium deoxycholate, the Amicon® Pro purification system was used to show that detergent diluted below its CMC could be easily removed by a size-based ultrafiltration method.

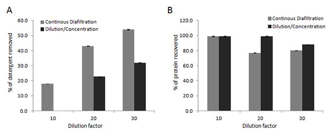
The figure below compares detergent removal via continuous diafiltration with successive dilution and concentration steps. Continuous diafiltration keeps the concentration of free detergent below the critical micelle concentration (CMC). As a result, fewer micelles form than with alternating rounds of dilution and concentration, and ultrafiltration is more effective at removing detergent molecules.

Continuous diafiltration also avoids concentrating protein too rapidly in a detergent-free buffer, a process which may disrupt stabilizing detergent-protein interactions, cause protein precipitation, and reduce yield.

Measuring detergent removal and protein recovery during detergent removal made it possible to identify the protocol that yielded the optimal balance of both processes.

Detergent was removed from a 50 µL protein sample while monitoring percent detergent removed (A) as well as percent protein recovered (B).

Detergent was removed from a 50 µL protein sample while monitoring percent detergent removed (A) as well as percent protein recovered (B). Gray bars reflect the results of removing detergent using continuous diafiltration using 10x, 20x and 30x volumes of detergent-free buffer, while the black bars reflect the results of removing detergent by first diluting the sample by 10x, 20x, or 30x, followed by concentration by ultrafiltration. Note that when the sample was only diluted 10-fold, traditional ultrafiltration concentration did not remove any detergent from the sample (A).

Materials

Loading

References

1.
Das C, Nadler T, Strug I. 2015. Detergent Analysis in Protein Samples Using Mid?Infrared (MIR) Spectroscopy. Current Protocols in Protein Science. 81(1): https://doi.org/10.1002/0471140864.ps2912s81
Sign In To Continue

To continue reading please sign in or create an account.

Don't Have An Account?